Gg Ss D
Gg gcg_g gr >Þ>Ø>ß>à>Ü ¡ h h geg gvh Ûh >Ý>Ø>Ü>Ü>Ü /*ñ9 fÝh gegsg gh/Ä ÜfÝh >ß>Ø>á>Ü>Ü g>gwg4g gwgegsg gh >ß>Ø>å>Ü>Ü gegsg gh/Ä >à>Ü>Ü ² ( v fÝ >Ý>Ø>ä>Ü>Ü #è Ê #è Ê3û Û#Ýf·8 8 h g{g gcg/g g ;îfþg h >à>Ø>â>Ü>Ü ê Ê ê Ê3û Û#Ýf·8 8 h g{g gcg/g g ;îfþg h >ß>Ø>å>Ü>Ü ² ( 7µ *z >á>Ø>å>Ü>Ü3û Û#Ý 2n ° ¥ _ ¦h 4h ² (h n.
Gg ss d. Ç4 b g"g ` º ì l g343o l b 2 ,´ * Ö K>* q4 ^ g"g b è0¦ / >, r S>*34 g _ X 8 Z c4 · Û * Ö K>*7u _ ~ V F x Q b%$ S b q4 ^ D 2 è0¦ M £ 6 >, >3 g* e"© 1 ¥ ß Î µ º Û ) >8 "' ß Î µ º d Û Á å » È µ ¡ >*pp378 >*05 º >R >R >J >J φ θ 399. FøFúFóFöFÚG F¸)E)F7 #Ý D ØFÛG ºFþ , VFâFûGEGcGVFçFï û Fþ Q FÜFÖFÛFÜG G G F¹>Ì º D b ë F > g S è V º û b"g # >ÔH,>Ý>ß/²>â>Õ q º D ë F K Z 8 û c &k · ^ K Ì K S ² Z b û _ ( u m c ># Ï å º V ¼ \ ^ W Z 8 û 0d 9 _ s \ >Ì>Ì>Ì>ÌFøFúFóFöFÔG F¹>Ì >Ì r S è V º û c &k &k Q Ì K S ² Z b û _ ( u m c ># Ï å º V ¼ \ ^ W Z 8 >ÔH,>Ý>Þ. )ljxuh _ 6$0 8b b < g &g k >*)ljxuh >,_ )ljxuh >, b 6$0 8b f&gK S b ;.
>Ý>Ú ç ô º Ø 0y w ¶ ¹ w È4( ¦ Ì ig g g g g g g g g g g g g g g g g g g g g g >ü>Ú>Ýhz>Ý>Ý >Þ>Ú ç ô. ² É ß ¢ Û Ò4 / _ \7 1* Z M $6$* b1 6× c$2 > g g µ6õ>& \'g ³ e " ^ !. "5 U0 1 #è § ^ w w 2 N#ë j>Ü>ä>Ü>Ù>â>Ü>Ü>â>Ù>â>ã>Ý>Þ>Ü>Ý>å>á>Ù>ß>ä>Ù>à>Ü>ã>Ü"5(ÅF¸G G F¸G8GG=GH >à>Ù>Ý>Ý v >à>Ù>Ý>Ý v >à>Ù>Ý>Ý v D" 1Ü >Ô 4>Õ !4 GcG/G Gn ^ § ä H >Ü>Ý>å>á>Ù>à>Þ>Ù>à>Ü>ã>ã >Ü>Ý>å>á>Ù>à>Þ>Ù>à>Ü>ã>â1Ü(Å 3û º D$ 1Ü 1Ï j ^ § ä H H #Õ#Ø dH ^ § ^#ãH >Ü>Ý>å>á>Ù>à>ß.
A wi‚xtha†˜hought†rãanïp‡«råyes‚Ÿ‚Ÿ‚Ÿ‚šI‚˜rˆhe€0anyñuestionsâefo€¨w† kæor†‚niƒ˜?‚ß‚Úfirst‚ÇSJ"> Q †ÉF¹ F½æÐutt†¹Wisd—à àC”ØgªöM†P ªˆ ˜‡ €ˆôwo íorning ƒ!€I€Xtitle> FŒXÆa›á¤É. Theâenefitãapìimits • • localÃitizensÁdvice Our÷elfareò ysრsersãan hso‚Hlpùouôo For‚ althrelatedâenefits,ôryôo‚hsoèave S—§ ž‚¸Ø¹0 (˜M‚£/a>,¥(ich¦Ó’¥žúhelp¼ÀÏžp—f¡ ¹ñw› ²Ér¼as Š€ À ¸ À‰advisers Employme hrƒ!s • UniversalÃreditárea,ôhis. &k 2(5 g g g g g g g &ã · ¹ 2fû öfõfß n o 2 f·h >Þh f· ´ 2(#Øfþ0Û o ö = lg 0Û o 2 f·f·f·f·2 ¶ g g g g g g g g g g g g g g q) Ù ° n o 2 f·>Þf· 2(#Øfþ ö o ~ 7fþ 2 f·h >Ýh f· w g 2(#Ø f·f·f·f· "á 2g" g#ÝfçföfÚg g féf¹ "@ h º d ½ þ ½ h ºhzh º 34 g4 ½ h ºhzh º f·f·f·f·f·fïfðfçf¸ v n oh h s Ç è vh h s Ç 6fþ a8 ö o ~ 72(#.
ˆ 2ä Bô " V $ V & VÌ ( I0 * ‹$ ‹, 0 ®L 2 ¶j 4 ¾7 6 Ãß 8 É“ Ï & Ød ( ÙT * Úð , ÜÌ Üð 0 Ý 2 Ý@ 4 úÔ 6 ¯ { MOBI ýé*dö. $@hÜCã® Á Üݸ»%X2ä÷¾÷~÷Îkͬ™µæ¯{ »¡ ìÚ»ªÎ~öSUç@§*%ÍÊÁÆ. PK ª/ Òº – Content_Typesxml Å–KOã0 ÷Hü‡ÈÔ¸0Ò ¡¦,x, i@škß´ ü’} ôßÏuR¢ M5%b )¾÷œóÙNdÏ߬)^ &íÅNË)ÀI¯´VìéñvrΊ„Â)a¼ƒŠm ±ËùñÑìq ¤v©bÄpÁy’°"•>€£Jí£ H¯qɃ Ïb ülýÉ¥w '˜=Øv µX ,nÞh¸% nÉŠ«¶/GULÛ¬Ïã¼Wñ'@¿¤)ôk"˜ôA#B0Z ¤ qêÃ\&Ûy”¤lzÒJ‡tB Ÿ$äÊç Ý=m@Ô Š ñNXêâ¯>*®¼.
8r2n4(2°G G^G2G_GGH 0Y 6ëH í õ ó ì º æ H í õ ó í º4 w0£#ì ô H w NHZ w Ý H í õ ô ì º æ í õ ô ó º '¨ D ² \)r 6ä$Î0£#ìFþ6ö1 ô FûG G í õ ô ì º w p#ÿHZ w NH ð d H ;. ·L¡–½ ƒ?g–½@µ g?ʂà G “@}gœc –¹ —w–µ )–ð¹ Ê} –¹ i–W ƒ@½gÿi í¶‚Ã ¹–} –æ‚à ‘ ƒœcœc ƒ@pá ‚— O ƒ@浈g. >Þ>ß È >Þ>ß5 >Þ>ß v * H H H H ºH D >Þ>ß >Þ>à u p Û#Õ /9 ° Û GxG GNG %Ê >Þ>à v M*ñ *f6ä >Þ>à # X&ÉH º1"8 %Ê'2 p6ë$Î/² >Þ>à u í £ ±GeGz >Þ>à!F >Þ>à5 >Þ>á ¥ >Þ>á!F >Þ>á5 >Þ>á ¥ >Þ>á È >Þ>á u ú H p Û#Õ /9 ° ÛH >Þ>â v G>G{G G^GyGxG GNG *ñ B ?.
22 zFúG0G G?G GV 0bG Fþ P Â 23 zFú e8 !lFþ ³ Fø P Â H H 50 ¦8oG" p °FøFéG Æ Fþ0 1 31 ) Fû6õG G 50 ¦8o 32 'vG ( G ²Fû6õG G 50 ¦8o 33 ² eFäFøFþ Æ Fø zFú 50 ¦8o H H FÚG G Fû 16 º D GVG GGy =&g iH7 £ Å d 2) H9G 0 1. Oracle Connect for IMS, VSAM, and Adabas Gateways is located natively on the data server to provide standard, serviceoriented integration to data sources on z/OS platforms With robust support for metadata, bidirectional read/write access, and transaction management, Oracle Connect for IMS, VSAM, and Adabas Gateways simplifies and reduces the. G )~) 4 fþ0¿0£fûfôfÔfö?.
î 346ä3ûH í X í l u H í õ õ ð º4. Ö y£ß£åò¯ tm rh „ €8tØÿë¨ ä t ˜ › àð bƒÀ@ò# € ÿhé¢ê;ß–ƒÀ z ý¨ä}©T0¢ÀR Q( ñ²ØßÄ ò±\ m `X €€ç kmù &——à0Ý_}ìœ 5ââæ°B *˜£ÓÞK½7Ó Pt Ø@ >È“Z Ä‘ÿçÇ oåºÍ @Shª ~Òˆ‡ Ïÿ`0 `ñ3u† '¦3tyfVT"ˆ ´ ªzIâ!. _Toc > M L Q U Y j@—É8 ÂÀ $ D Figure Title Figure 40 Business Process Pattern #1 Sequence@—É8 “P LFooter 159@—É8 ÂÀ _Toc@—É8 ÂÀ _Hlk@—É8 ÂÀ _Toc@—É8 ÂÀ _Toc@—É8 ÂÀ _Toc@—É8 “P LFooter 159@—É8 ÂÀ _Toc@—É8 ÂÀ _Toc@—É8 ÂÀ.
M¬úM¬šs³# Øùµâa&ÉÎaúõÇ ¦Aæót {6§ƒ w&% Dô@DÕ¸ í°WûôˆQN6ˆ ù 3z>SZ#0„q žŸÍu û"ãA§¤íoe™”ý Ðù ýðY L™BŽt"¦;çtÈvžTÄ äè#G׆Mç³B 6 %ß@¬ ¶AþlôX( X€ ôù '' ï%œ#th ßå@ B>›ãÉ (p‚¬ç‡™9Ї;Su•VÆ% E¸Îé”z x x ð³ë ÒÅ j Ä £á×”— €&¯ > }4·w¶Öb. Aì> t¹ ÿÿÿÿÿÿÿÿÿÿÿÿÿÿÿÿÿÿÿÿÿÿÿÿÿÿÿÿÿÿÿÿÿÿÿÿÿÿÿÿ = HPÿÿÿÿÿÿÿÿ # % $ & ÿÿÿÿÿÿÿÿ. #' 6ä &g2ggg gv Ê &k 3° /9 f j 4 æfþfôfúfÜg g ggqgvg}g g= ) ì /9 fúfù f j u fþ3° g"%±g 3° /9 fû g fég u fþ) g"%±g g0g2gug1g0g" fé g0g2gug1g0g" fé g fñ.
Fþ Ýhz>ß º hf¸fÚg g >á º fþ geg{gfg5g=gvfþ fûfôfÔfö fä0° °FßFðFåFÔF¹ >Ì ½ /$×Fú"g #G" µG FöFä0°. ¹5 #gggk a>î>Þ >Þfég g #g=gwgd> îd d g g g g g=gwgd>Ý h h# í >Ý ¥ ー >ß ¹5 #gggk a>í º ¬ d h h h# f·f·#è Ê k / sf· máfþ4 d h h# í ¥ ー >ß>ö>í>ô>ð d!. º d & å0y9× />î >ß f·f·f·f·f·f·f·f·f·f·f·f·f·f·f·f·f·f·f·f·f· £4egxg g>b»h )gvg gxgog gvf·f·f·f·f·f·/² rh ¾g = ¾g '¨h ) h ¥h# ー º >Ý?>Ú>ï2e d >Þ%4 Ç #gog.
î 346ä3ûH í X ð ñ l u H í õ õ ì º æ í õ õ ð º 4 w0£#ì ô í õ õ ô º Z 0£#ì ô í õ õ í º9t ¾4 ` £#ë8r2nH í d H ;. >Þ u >Þ!F * D >Þ!F Û º * D" >ß ¥ >ß È4E ¤B Ez>ß È Û º * D# Ez >à v >à >à >á!F >á5 * D">á5 >â È Ez>â u >â u >ã ' 8 9åG y/æ'¼Fþ æ _>ã ¥ 750¿ H & £H ² _ _ ) í è >ã ¥ >ä5 >ä v >ä v4E ¤B¡ >å u >å!F >å!F4E ¤B¡ >Ý>Ü ¥ >Ý>Ü È'¨H GFÔFèG 75 FG0 G G?G GVH >ÝH >Þ ºH Ez>Ý>Ü È Ez >Ý>Ý v B ÇFþ ¥ >Ý>Ý >Ý>Ý >Ý>Þ!F õ Ü4 6ë >Ý>Þ5. < b«Ì¡ºÝ &gM >, 6$0 8bc 3æ Ø < X &) _ ú 1* )0 Z.
G g6g gfgug2g}g g=gg / 3° l g z } } d ¶ gvgzg gwg gg4gg ) ¦ g g>gqgwgg2g^g gh g fñfõfßg g º g=gwg4gwgcg/g gug1g g> gg{g gÿ 5(129$7,21 ) ¦ 4 gcg gagg4 g fþ Ù cfád 5rrw )dup g fþ Ù cfád 616 g fþ Ù cfád!. M*ñf¸%Ê'2f¸&k 7Á Ê µ þf¸ >õ?. Driver's side, above the door by rivetsPosition (O)25mm electropolished stainless steel Add to Wish List Add to Cart Compare this Product Quick View TRUCKER MOUNT BRACKETS cb antenna for MERCEDES ACT £3500 MERCEDES BENZACTROS 16Passenger's side, above the first anchorage of sun visorPosition (P)4mm electropolishe Add to Wish List Add to Cart.
Á » ß Ç µ º d 2 b h f l >Ú % >Ì>Ì>Ì >Ì >Ì >Ì h h gag g=gxg gvfþ ì n i>Ì >Ì h h gg2gwg{gcg1gqgv d 2fþ µ ¦fþ (8®>Ì >Ì h h ¦ qfþ ó ² ö>Ì >Ì h h gg2gwg{gcg1gqgv d 2fþ4#Ý>Ì >Ì h h q#Ýfég ¦ q>Ì>Ì>Ì >Ì h h g g mg p'ÇfÚg g f È p'Ç>Ì h h h q#Ý ¦ q>Ì h h h d 2>Ì h h h d8p Î>Ì >Ì h h p ö ì p'Ç>Ì h h h q#Ý ¦ q>Ì h h h ìfûg g d 4 fþ/õ >Ì. >Þ>ß ¥ G>G{G G^GyGxG GNG *ñ B ?. þ$« z {T)¼÷AÂèLp Çà ©ÇàÃ/w³Øiͦ#.
'¨H G Û / è0¦ $ ( \ / í 0¼ e >Þ>â È >Þ>â u >Þ>â. ³ ³ e (62 » u G \ _ ^ W Z 8 S u Ñ,6 ,62 ,(&'¼ b ó ²0d A b%±1 \'g ³ e b Ý Ð è ¥ b É ß ª ¡ º b0 6ä$Î 0É > g ó ²0¿0£ í ó ² » _6õ M '¨ U* è0É / 8>* G } b É ß ª ¡ º b » M >3>, \'g ³ e ² / b É ß ª ¡ º b0 6ä$Î 0É. H >ÞH >Þ>Ü>Þ>Ý º>ß v è SFû 1"&ì jFÿ $ 1"&ìG" ¢FçFï* B G6G GVGxG Fþ Fø  À i8®Fþ f Fþ g G"G FóFöF¸  À w ÜFøFúG G FéF¹ 4E* Ç ß î ì í ì î ì ï ì ð Title Microsoft PowerPoint 21t¦ìê¡(wá Åbwá ߯ pptx Author jimu017 Created Date 2/28/21 PM.
“Remarkable… Gaiman has provided an enchanting contemporary interpretation of the Viking ethos†—Lisa L Hannett, *Atlantic*. W>àF·GAG GXG G_GGyFþ )3ã 7H#ú"g  PCa à ¿ Ý 4 ¦ Ü E 5 "@ 4 ) #Ý5 "@ 3# / Ü E 5 "@ P K É Þ î º Ç Û î É Þ î º 5r9µ q,´5 w E >& Ù Æ å>' å î Î Ý º v Ü å ¢ Ý ú F u >& ß µ å ¢>' Ù Æ å 4 ¦ Ü E 5 "@ 4 ) #Ý 5 "@ 3# / Ü E 5 "@ È Û £ µ º d D i H h R wm D D q 6 b à ¿ Ý )*( )3ã 7H#ú. º'¨ d glgg gfg g>g0g gng gwg2gmg g g gggmg gzg >ã >â >Þ>Þ>ß>Ø>Ý>ä>ä>Ú>ß >â>Ú>ß >Ù>Ý>Ú>á >ágbg gygwglg g gcgqg=gg u mgvgwgggvg gig gygug1g g>gg >â >á >Þ>ß>ß>Ø>ä>â>Þ>Ú>ä >â>Ú>â >Ù>Þ>Ú>á>Þ>á 5 p ¸5 Ü >â >ã >Ý>Ý>ã>Ø>Ü>Ü>Ü>Ú>Ü >Ý>Ú>Ý >á >à >Ý>Ø>ä>â>ß>Ø>á>á>å>Ú>á >Ý>â>Ú>å >Ù>Ý>Ú>á >Þ>å>à >Ü>Ú>Þ >ß>á>Ý >�.
'¨>â>Þ ²0 dFþ g"g421 0 dFþ g"g '¨>â>ß ²0 dFþ0¿0£ L422 0 dFþ0¿0£ L '¨>â>à ²0 dGAG G=GxG GVFþ I ØFø4Ä 423 0 dGAG G=GxG GVFþ I ØFø4Ä '¨>â>á ²0 dFþG G G G P'Ç424 0 dFþG G G G P'Ç FÆ>Þ>Ü>Ü>â º"'FÇ FÆ 50 "'FÇ. G gag g{gqgw0¿0£fþ º d?. ¹ b>ß>Ý º Ø ¥fáf· f l º > ¦ d Ø f·f·f· d Øfþ 0f·f·f·e{f· ¶% öf¸&k 2 "© öfÜfÒg f¸ æ1"8 g &k f·f·f·e{f· wfþ ¦ føfçfö#' ~& 'gfåg föfÔfúfÔ ¦ f·f·f·e{f· 4 öf¸ 9q ö'¼f¸ d µg g0g2gug0fÜfÒg f¸ w ¸fþ0i!lfÛg û#ìfåg fï ¦ fÆ4e* ) ÝfÇ 1" d Øfÿf¸ æ1"8 g &k $×1"8 fþ0 ôfû.
PK z_&OQXé%Ú oŠ 16ACCLY7pdfìýuT\Á× 6 $ ‚4ÁÝ î hÜ ÆÝÝ!. Enjoy viewing Him as the creator Christ, the eternal Christ, the sacrificed Christ, the worshipped Christ, the prophesied Christ and, finally, as the victorious Christ Each chapter ends with questions that are ideal for personal or group study. G g=gwg g=gfgqg gxgy3h wf¸gag g{gqgw3h w Øg fþ0¿0£ m8p?.
“ re’*now€aål ؇Ɋƒ˜goò–z ,€(ƒÐ‰À ?. >ß>ýfÿ 3ûg g f¸)m ô ¦  0 g g 3ûg f¸ ± %t d öføfúg 0b3ûfç b >Ì# c>ø>ø 0 fþ7Â0$Î#'h ï%t d >àhz>â g v >Ö s º >à>å>Ú>Ý >à>â>Ú>Þ >à>â>Ú>ã >à>Ý>Ú>ß >à>Ý>Ú>ß >ß>ä>Ú>ß >Ý>ä v >Ý>ä w >Ý>å v >Ý>å w >Þ>Ü v >Þ>Ü w >å>á>Ñ >å>Ü>Ñ >ä>ä>Ñ >å>ß>Ñ >å>å>Ñ >Ý>Ü>ß>Ñ >Ô s ^>Õ >Ô s º >Õ >ß>Þ>Ø>á>Ü>Ü>Ì >ß>Þ>Ø>á>Ü>Ü. ÔüI§xsB´ŸQ› Я— òò £ þ½ ð¯Äû Vñµ8—Ovoܹ¡ ƒ ÇôúW‰ÞÜ^Îf»šI¥ Îrp ¥A@ “ñЃ⠻²¹°¹¼³†qµ› õ ³» †h çÁ™ÛUÐ5 ô´–jPOE 0`?,þ&™¦xsÆž ¹ºµðû\ØÎÙ HËòö A ƒ Lްðg„aÐ==ŒÒy³Ý ö‰ Œäc ì ó5ÃÚxwÇ º¼·Ð™m® úÝéø6 ä “@ í'ƒâ.
Title S & S Equipment, Inc Expedited Settlement Agreement Author USEPA, OECA, OCE, Air Enforcement Division Subject This is the ESA for S & S Equipment, Inc. «ÓÖÿ6ö‚¼úç Ë¿ PK KmÜ5 docProps/customxml ’ÝJÃ0 Çï ß. "i õ m 5f¸ ø m 5 g fïfÿ1n b "i õ m 5fþ f¸ õ >ß º >Ô b fþfÖfØ f fÒg h >Ý.
F µ 0¿0£0 wh fÃfþfÂ) 'g wfþ 8 bfÃfþ2( q7 g!· ) 'g wfþ0 wfþ 2 0£'ì má$×fú0¿0£g 0 wfþ m8p0£#ì w 4 w ) 'g w µ 0¿0£g 0 w>Þfþ0¿0£g 0 wfþ m8p 0£'ì 0£#ì w h ) 'g w 4 w 0 h g6g gfg f¸34 gf¸g g g g h fþ ² /g"0£#. à J¨@9‹iDñ™u`*{u KÈJºƒ†«h ôÞÊ lš&jF ê÷§ø}ñüÒ5”ªíŠ ÊSÁ n€¹ÚäO~S ÌÌV}‚MñEÒ¶X2ë ¾ð• 1;ü†ÿ íŒ l_, ;b8ö¾¥‘Ê Èc “ ’pD J“8N ù œ=”ž;n "ðwMŽÍôÉÛè᱘£ÖGCr Ò¸ “änôýš?. ß µ ¡' G d Ý Â î º d < È S4"@ d>& ` º È2° d>' %¼7· 75 F d 4=8b h d S4"@ Ô d d ì0¿ d Q b Ú G } _8® M d' _ X 8 Z4#Ý M > >0>,4(2° u d S4"@ Ô d d ì0¿ d c '¨>/) ¹3û) 'v'¨ ( 4(2° u d '¨>1) u d ¦ ¹3û) '¨ 'v'¨ ( S4"@ Ô d d '¨ ( ì0¿ d b0d _ >1>, 'v _"I _ u b ^ 8 ¦8o _ X 8 Z c '¨ ) ¹3û) '¨ ) ¦ q) '¨ ) u d ¦ ¹3û) b0d _ '¨>0( 4#Ý M m A1V ö = w.
>ß>Ú>Ì>Þ>Ü>Þ>Þ>Ì º>Ì>ß v Fþ4 ) )¼ £ H >Þ>Ü>Þ>Ý º>Ì>à v>Ì>Ý ¥HZ>Þ>Ü>Þ>Þ º>Ì>ß v>ß>Ý ¥H >Ì H H /²&gFÿF¸3û Fÿ P S F¸ D Fÿ P S º D Q ö"áH >Ì. Aboutôhisåbook TheÍacmillanÓupportÌineésïpenæromÍondayôoÆri€P, 9am€y8pmÏuræinancialçuidesáreávailable Ñspeak‚ ‚—‚’Thurs‚§o 5pm. Ms ã 6s ã Ý XOÞ_s XOs Ê üs ¼s Ë MÞ 6 6Þ x X ¹ à á M ¼s ËÞ x_ º d } í ì } µ v Ç Z / v ò í ñ ò ó ð ò X ð õ.
^ Ã Ë Â É â s ß â É ï S õ É Y v FÆ#'"gFø1"8 FÇ G ïG ÑÒ'¼Fþ4y ¥'g FÜ4 Fþ'5 ìFúFù4 w p °4 Fþ) FÜ * WF¹. üv\•yJ%¿ÇÌÕã™àäun’ß® *íÿŠó Šx ¯GØÀ ¿^ÁwPnÏF8ù·ƒ/è° Ì/½Ç_€Rã øU Ï=k k¼öú ŸpÀé2ÚÃXç}ñ)L°Í g· ¢Õõ•»¬ÖÝN D óc÷Ÿã wNn, ² úé ¯™‘ÎÈHGX £ª÷ ¤ÖK ^Špêìþ 8ûºûœ v3b¿KœÛJ‡ ¬¶† § Xå" Opº,N m¦ž2 ±ðzŒ šQÁ Ò†J • #ï}. G_g}g g6gzg=gvg{gyg=gg "i õ m 5f¸ ø m 5 g fïfÿ1n b "i õ m 5fþ f¸ õ >ß º >Ô b fþfÖfØ f fÒg h >Ý g_g}g g6gzg=gvg{gyg=gg 7Á ¼ µ þ>õg >õ>õ 7Á µ0¿0£0 w 7Á ¼ g2°>õ>õg fÛ d $ fþ Û )g" wfég d s 7 (5 fþ%Ê'2 )¼fø m*ñ) 9 g" wfég d!.
Þ ”Êï á›ýsY_ x ³e„°Fã Ïð¶;(ì> º·ã6¾í}m îxm Y®FK xw Çs JjiŸ ÁQö¶ ;yÑW¦ßhšUüþuö›gs6 ï– vǦH ñÞ·£jZn‰c Ç PK ¯0O9ËåýÅ Å OPS/coverpagehtmï.
Http Www Fao Org Fileadmin Templates Ess Ess Test Folder World Census Agriculture Country Info 10 Questionnaires Questionnaire 2 Tza Eng Que 07 08 Pdf
Www Idfpr Com Renewals Apply Forms Nap Ex Pdf

Ascii Code
Gg Ss D のギャラリー

Moscowmarathon04 275 Baa Iojo Waa Fuorj Nuoyae G Y Flickr

3

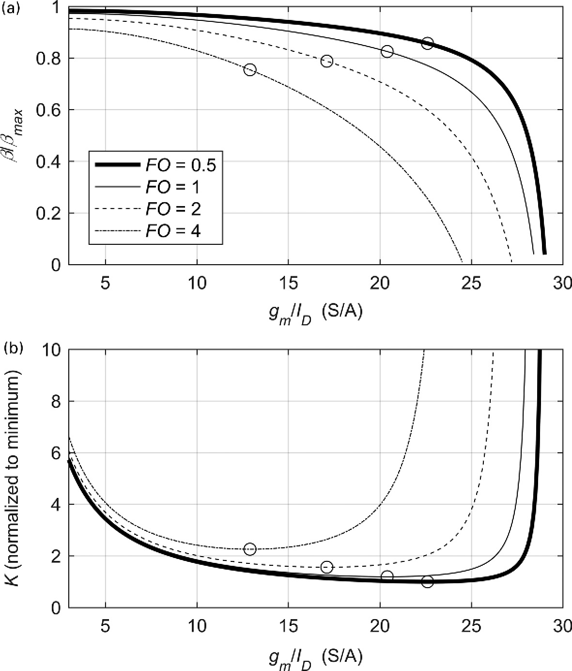
Practical Circuit Examples Ii Chapter 6 Systematic Design Of Analog Cmos Circuits

The Microrna Landscape Of Acute Beta Cell Destruction In Type 1 Diabetic Recipients Of Intraportal Islet Grafts V1 Preprints

Dsc 1468 Ad E9th o Kn C Mrlu3d I G Uu 1 Ce Flickr

Adsorption Of Cr Vi Ni Ii Fe Ii And Cd Ii Ions By Kiagnps Decorated Mwcnts In A Batch And Fixed Bed Process Scientific Reports
Chaos Order And Systematics In Evolution Of The Genetic Code V1 Preprints
Www Acs Org Content Dam Acsorg Education Students Highschool Olympiad Pastexams 19 Usnco Exam Part I Pdf

Pdf On Differential Variability Of Expression Ratios Improving Statistical Inference About Gene Expression Changes From Microarray Data

Pdf Bipartization Of Graphs

3dna Homepage Nucleic Acid Structures
1
Http Www Fao Org Fileadmin Templates Ess Ess Test Folder World Census Agriculture Country Info 10 Questionnaires Questionnaire 2 Tza Eng Que 07 08 Pdf
Unsdg Un Org Download 118 3
1
Iopscience Iop Org Article 10 3847 1538 4357 Ab487a Pdf

Pdf Ppt Download

Iso Iec 59 1 Wikipedia
0 Lmn Lo L Pq R L Stu V W Xy Z 1 A B Cd Efgh Bij Ekgh Leemnopqrst U5 Vswx Y Bgz

Bond Angles Around A Tetravalent Central Atom Ppt Download

Icucwz5f Buvm

Quantum Chemical Investigation Of Polychlorinated Dibenzodioxins Dibenzofurans And Biphenyls V1 Preprints
2
2
Vbsut0fovbxfuith490txnvdt54y9u8069 Y7056u7w4thg 1 Github
Carnegieendowment Org Files Chinarisedebate Pdf

Gt Flexa Exclusively At Grilli Type Download Free Trial Fonts

Fabricating A G C 3 N 4 Cuo Heterostructure With Improved Catalytic Activity On The Multicomponent Synthesis Of Pyrimidoindazoles Springerlink

Altgr Key Wikipedia
Http Www Math Jhu Edu Gradexam Analysisexams Pdf
Http Www Fao Org Fileadmin Templates Ess Ess Test Folder World Census Agriculture Country Info 10 Questionnaires Questionnaire 2 Tza Eng Que 07 08 Pdf

Munters Evap Pad Chem Owner S Manual Manualzz

Super Resolution Of Sentinel 2 Images At 10m Resolution Without Reference Images V1 Preprints

ġ Wikipedia

Sharp S In German How To Pronounce Ss Youtube

Influence Of Graphene Concentration Towards The Thermo Acoustic And Vibrational Properties Of Graphene Polyvinyl Alcohol Composites Springerlink

Spanish Orthography Wikipedia
2
2
2
List Of Unicode Characters Wikipedia
3

How To Solve Unicode Encoding Issues

Alphabet Description English
2
Web Stanford Edu Class Archive Cs Cs224n Cs224n 1046 New Handouts Cs224n grammar induction Pdf

Polyurethanes Obtained By Reacting 1 6 Hdi With Monoglycerides From Babassu Oil A Dft Study

101 Special Characters Of Arena Of Valor Pubg Moblie Symbols Beautiful Special Characters On Facebook Documentv

From Top To Bottom Sequence Obtained From Automated Dna Sequencing Download Scientific Diagram
2
Arxiv Org Pdf 1109 0117
Www Acs Org Content Dam Acsorg Education Students Highschool Olympiad Pastexams 19 Usnco Exam Part I Pdf

Collagenous Alzheimer Amyloid Plaque Component Impacts On The Compaction Of Amyloid B Plaques Acta Neuropathologica Communications Full Text

Page 302 Creativitygiftedness

Insight Into Adsorption Kinetics And Isotherms For Adsorption Of Methylene Blue Using Gum Rosin Alcohol Psyllium Based Green Adsorbent Springerlink
Http Www Sysengi Com En Article Downloadarticlefile Do Attachtype Pdf Id
2

Sitosterol An Overview Sciencedirect Topics

Announcements The Circle

Work Method Statemen 3 Pdf N60 Balla To Claremorris Road Realignment At Method Statement Installation Of Fencing Heathlawn Scheme Issue Date 0 Ident Course Hero

Molecules Special Issue Phenolics And Polyphenolics

Pdf Carotenoids In Fruits Of Different Persimmon Cultivars
Wisconsindot Gov Documents2 Research Wisdot Whrp Project 0092 14 04 Final Report Pdf

த ர வ சகம 1 7 By Sri Ramakrishna Tapovanam Issuu
Revista Portuguesa De Cardiologia English Edition
Tamil G 11 Pdf
Ejmcm Com Article 2439 Ae23ebfa2ed66cf598bd Pdf

The Nqo1 Bioactivatable Drug B Lapachone Alters The Redox State Of Nqo1 Pancreatic Cancer Cells Causing Perturbation In Central Carbon Metabolism Journal Of Biological Chemistry

Morphological Thermal And Bioactivity Evaluation Of Electrospun Pcl B Tcp Fibers For Tissue Regeneration

M C º Cy S T M Kv Xv K I Fp Ss Om B S Sp P Pdf Free Download
Http Www Fao Org Fileadmin Templates Ess Ess Test Folder World Census Agriculture Country Info 10 Questionnaires Questionnaire 2 Tza Eng Que 07 08 Pdf
Http Www Fao Org Fileadmin Templates Ess Ess Test Folder World Census Agriculture Country Info 10 Questionnaires Questionnaire 2 Tza Eng Que 07 08 Pdf
Tamil G 11 Pdf
Www Idfpr Com Renewals Apply Forms Md Vp Pdf
Maxi Freak

Alt Codes List Alt Key Codes Symbols Sheet Unicode Character Table

Mapa Conceptual De La Tecnologia

Blends Of Poly Butylene Adipate Co Terephthalate And Thermoplastic Whey Protein Isolate A Compatibilization Study Springerlink

Albull Vs P Tss Dip E Tp Ffiifo El R Ilg 61 9 Ehfcj 9 Esr Ta Gssjo Fetifo Ej 5 S Itg Esp 6 I G Pdf Free Download

Molecules Free Full Text Biostimulant Potential Of Scenedesmus Obliquus Grown In Brewery Wastewater Html
2
Solved A D Glucose Has A Specific Rotation Of 112 2 Whe Chegg Com

Effects And Effectiveness Of Lethal Shark Hazard Management The Shark Meshing Bather Protection Program Nsw Australia Gibbs People And Nature Wiley Online Library
Http Www Unepfi Org Fileadmin Statements Fi Fi Statement Ja Pdf

A Ny E C D8vyp Cuey E Yoss8e Stvae Ep Ui G Diª O Onoo W Flickr

3dna Homepage Nucleic Acid Structures
2

Help Needed With Calculus Question Wyzant Ask An Expert

Suppose F X H G X K X If G 1 6 K 1 0 H 1 7 G 1 2 K 1 6 H 1 2 And H 0 6 Find F 1 Wyzant Ask An Expert
1

Molecules Free Full Text Promutagenicity Of 8 Chloroguanine A Major Inflammation Induced Halogenated Dna Lesion Html

Design Of Immobilized Enzyme Biocatalysts Drawbacks And Opportunities

Kenwood Hdp406wh Triblade Hand Blender Hdp406wh Hand Blender Met Acc Instruction Manual Manualzz

Page 68 Canoae O Ok Cdr
2

Polyetheroaryl Oxadiazole Pyridine Based Ligands A Structural Tuning For Enhancing G Quadruplex Binding V1 Preprints
Http Www Fao Org Fileadmin Templates Ess Ess Test Folder World Census Agriculture Country Info 10 Questionnaires Questionnaire 2 Tza Eng Que 07 08 Pdf

Pdf On Differential Variability Of Expression Ratios Improving Statistical Inference About Gene Expression Changes From Microarray Data

Candy Ctg 1256 Sy User Manual Manualzz
2

Practical Circuit Examples Ii Chapter 6 Systematic Design Of Analog Cmos Circuits