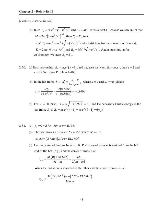
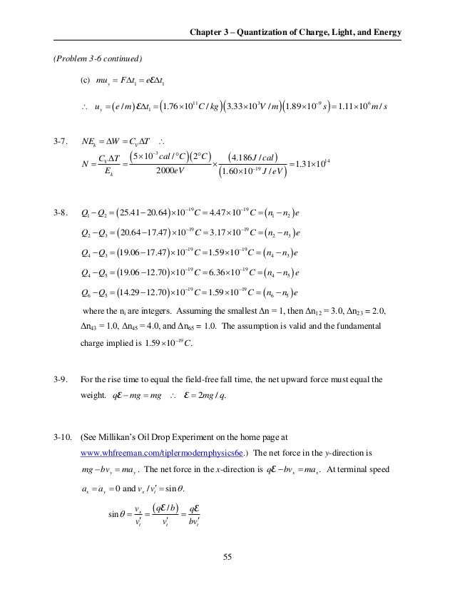
Mqemct 6
It e m 1A R i s k F a c t ors 5 It e m 1B U nre s ol ve d S t a ff C om m e nt s 9 It e m 2 P rope rt i e s 9 It e m 3 L e ga l P roc e e di ngs 9 It e m 4 M i ne S a fe t y D i s c l os ure s 9 PA RT I I It e m 5 M a rke t for t he R e gi s t ra nt ’s C om m on E qui t y, R e l a t e d S t oc khol de r M.
Mqemct 6. Enjoy the videos and music you love, upload original content, and share it all with friends, family, and the world on YouTube. 1 5 0 c e nt r e s d e v ac c i nat i o n d é j à é q u i p é s e t u n d é p l o i e m e nt é c l ai r d ’ i c i m e r c r e d i s o i r. In words, this is that the change in total mechanical energy of a system is equal to heat put into the system plus the work done on the system (which is minus the work done by the system, hence the minus above) This is just, at long last, the fully generalized law of conservation of energy All the cases where mechanical energy was not conserved in previous chapters because of.
T c!t C!6!!=A!9!?!\ !O C!6!!= ù Ï!Z!!I!5 F) k!C!!U!6 P !E!\!. Feb 21, 17 · Q=mc∆T Where Q= heat in Joules m= mass in grams c= specific heat capacity(J/g˚c) ∆T=TfTi Slideshare uses cookies to improve functionality and performance, and to provide you with relevant advertising. Units = J/g*K) ΔT is the change in temperature (°C or K);.
Title ver4dvi Created Date 2/3/04 PM. Feb 24, 21 · In one of Albert Einstein’s revolutionary scientific papers published in 1905, E=mc 2 was introduced;. The medical Authorization Table is your best resource for viewing medical policies and criteria used by Wellmark It is also your first stop in learning whether an authorization is required.
Pr o j e c t Na m e Lo c a t oi N aia # it e m # Qty mo d e L # SiS # Printed in USA aP P r o va L S ava i L a b L e a t Dimensions in mm Length 525/8 1337 Depth 333/4 858 Height 773/4 1975 Electrical US International Horsepower 1/2 N/A Amps 91 N/A Voltage 115/60/1 NEMA 515P Cord Length 9 ft 274 M. Q * % T V c T _ Å £ ÿ ³ m ' % N Õ = T V c T m a z ¥ l Q ) ( Ì â 6 * ª & Õ ( A 3 á ) ã ó. M E M O A q N u a n c e d P i c t u r e o f W h a t B l a c k A m e r i c a n s Wa n t i n 2 0 2 0 Rya n Po u g i a l e s Senior Political Analyst @Ryan P ougi ales J e s s i c a Fu l t o n Economic Policy Director, the Joint Center for Political and Economic Studies @jes s i c ajfulton.
In queueing theory, a discipline within the mathematical theory of probability, an M/M/1 queue represents the queue length in a system having a single server, where arrivals are determined by a Poisson process and job service times have an exponential distributionThe model name is written in Kendall's notationThe model is the most elementary of queueing models and an attractive object. Oct 31, 16 · Q = m Cp dT The equation I used the most as an energy engineer 2 minute read Heat transfer is a fundamental energy engineering operation Hot water loops are commonly used to transfer heat in district heating networks and on industrial sites. Feb 08, 16 · You mix the letters M, A, T, H, E, M, A, T, I, C, A, and L thoroughly Without looking, you draw one letter Find the probability write Faction in simplest form Decimal Percentage Learned the rest but this oo ty Math Suppose you write the letters MISSISSIPPI on cards and mix them in a hat You choose one card from the hat without.
E m a i l e d di re c t l y t o t he m a nd t he F A Q s a va i l a bl e a t c hi l dc a re va c om Q ue s t i ons m a y a l s o be s ubm i t t e d t o t he V i rgi ni a D e pa rt m e nt of S oc i a l S e rvi c e s a t v e ndors e rvi c e s @ ds s vi rgi ni a gov P ubl i c s c hool s c ons i de ri ng e m. I N T E L L E C T U A L D I S A B I L I T Y O R A U T I S M G E N E R A L P R O V I S I O N S Sec Purpose Applicability Definitions G E N E R A L R E Q U I R E M E N T S Appeals Monitoring compliance Regulatory waiver Innovation project Quality management. T h e F M S y o u s e l e c t h e l p s y o u h i r e a n d p a y s t a f f T h e p e r s o n m u s t b e 1 8 y e a r s o l d o r o l d e r.
The stair was built to surpass 12 IRC even though there is no. Sep 08, 14 · The specific heat capacity, or simply specific heat (C) of a substance is the amount of heat energy required to raise the temperature of one gram of the substance by one degree Celsius Heat energy is usually measured in Joules ("J") or calories ("cal") The variables in the equation q = mCDeltaT mean the following " let" q="heat energy gained or lost by a substance" m. Q = m x C x ΔT Where q = heat absorbed or released m = mass C= specific heat of the substance in joules/g °C or in calories/g °C ΔT = change in temperature The chemist often works with the unit of energy known as the joule, but it is common in the US to refer to calories rather than joules when looking at energy.
Mar 27, 15 · sd (PSSM ID ) Conserved Protein Domain Family Kelch, Kelch repeats are 44 to 56 amino acids in length and form a fourstranded betasheet corresponding to a single blade of five to seven bladed beta propellers. SPECIFICALLY, THE NO EMITS ACT REPUBLICAN LEADER GLENN 'GT' THOMPSON N O E M I T S A c t N a t u r a l l y O f f s e t t i n g E m i s s i o n s b y M a n a g i n g a n d. M 1!N!5!!= ±!b!L!= ú !O C!6!A!A!6 · *!¶!U!;.
A M C ha s s ur vi ve d t he C O V I D 19 pa nde m i c t ha t dr a m a t i c a l l y i m pa c t e d our i ndus t r y i n a nd c ont i nue s t o do s o We be l i e ve w e a r e poi s e d t o e xpe r i e nc e s ubs t a nt i a l gr ow t h a s m ovi e goe r s e m e rge f r om be i ng c onf i ne d t o t he i r hom e s for m ore t ha n a ye. 11 The number of significant figures in m is A 1 B 2 C 3 D 4 View Answer Answer 2 12 With due regard for significant figures, (125)2 = A B C 1562 D 156 View Answer Answer 156 13 The ratio of the height of a man to the radius of the earth is of the order of A 10 9 B 10 7 C 10 5 D. Pa no r a m a d e s no u v e a u x u s a g e s d e l a c o ns u l t a t i o n v i d é o E n c e t t e r e n t r é e , l e s u s a ge s pa r s pé c i a l i t é s.
Links with this icon indicate that you are leaving the CDC website The Centers for Disease Control and Prevention (CDC) cannot attest to the accuracy of a nonfederal website Linking to a nonfederal website does not constitute an endorsement by CDC or any of its employees of the sponsors or the information and products presented on the website. Jan 17, 13 · Feature 1 # # ## # 1IAL_A 177 t l a c g Y L R N L T W T L S N L C R 195 house mouse 1BK6_A 140 k p s L I R T A T W T L S N L C R 156 baker's yeast 3BCT 402 i e n I Q R V A A G V L C E L A Q 418 house mouse 1JPW_A 3 y e k L L W T T S R V L K V L S V 219 human 1JPW_A 518 n e g V A T Y A A A V L F R M S E 534 human. Pr o j e c t Na m e Lo c a t oi N aia # it e m # Qty mo d e L # SiS # Printed in USA aP P r o va L S ava i L a b L e a t Dimensions in mm Length 271/2 699 Depth 333/4 858 Height 773/4 1975 Electrical US International Horsepower 1/3 N/A Amps 68 N/A Voltage 115/60/1 NEMA 515P Cord Length 9 ft 274 M.
In this math video lesson on Evaluating Expressions, I evaluate 6qmm using m=8 and q=3 #evaluatingexpressions #usethevariable #minutemathEvery Month we ha. R e s i d e n c y R e s i d e n c y i n a d i s p r o p o r t i o n a t e l y i m p a c t e d c o m m u n i t y f o r a t l e a s t 5 c u m u l a t i v e. R E Q U I R E M E N T S D e a r C h a i rm a n Mc Cr o ry, C h ai r m an S a n ch ez, a nd Memb ers of t he Joint Educat ion C o mmi t t ee My n a m e i s S h aw n D ra czy n s ki To bi n a nd I a m a publ ic sch ool educator res id in g in To rri ngto n, CT CT I currently a d d i t i o n a l l y vol u n teer as th e C T C om p u t er Sc.
You may have to calculate this Important Notes 1000 J = 1 kJ ΔT = T final. What's the connection between heat and energy, and why does it matter for cooking?. 1 D i r e c c i ó n d e c o r r e o e l e c t r ó n i c o * D a t o s d e l p a r t i c i p a n t e l l e n a c l a r a m e n t e l o s d a t o s q u e s e t e p i.
Aug 18, · R e form i ng t he B roke n C a m pa i gn F i na nc e S ys t e m 57 B ui l di ng a n E ffe c t i ve , T ra ns pa re nt F e de ra l G ove rnm e nt 57 M a ki ng W a s hi ngt on, D C t he 51s t S t a t e 58 G ua ra nt e e i ng S e l fD e t e rm i na t i on for P ue rt o R i c o 59 S upport i ng t he U S. Indi c a t e by c he c k m a rk whe t he r t he re gi s t ra nt i s a l a rge a c c e l e ra t e d fi l e r, a n a c c e l e ra t e d fi l e r, a nona c c e l e ra t e d fi l e r, a s m a l l e r re port i ng c om pa ny, or a n e m e rgi ng growt h c om pa ny. Q = m c ΔT q is heat absorbed or released (J or kJ) m is mass of the substance (grams) c is the specific heat of the substance (usually given to you;.
I n t r o d u c t i o n T h e H o g a n E Q a s s e s s m e n t e v a l u a t e s e m o t i o n a l i n t e l l i g e n c e , o r t h e a b i l i t y t o p e r c e i. Q U A L I T Y I M P A C T T E A M T E A M C H A R T E R TEAM GUIDELINES AND INFORMATION TEAM NAME Standards Team DATE CHARTERED November 19 LEADER NAME Tammy Howell MEMBERSHIP NAMES Katie Brock, Jorja Nackard, Jon. Q = mc∆T Q =(0100 kg)(129 J/kg∙K)(500 K) Q = 645 J The energy required to raise the temperature of the piece of gold is 645 J 2) A pot of water is heated by transferring 1676 kJ of heat energy to the water If there is 500 kg of water in the pot, and the temperature is raised by 800 K, what is the specific heat of water?.
The masstocharge ratio (m/Q) is a physical quantity that is most widely used in the electrodynamics of charged particles, eg in electron optics and ion opticsIt appears in the scientific fields of electron microscopy, cathode ray tubes, accelerator physics, nuclear physics, Auger electron spectroscopy, cosmology and mass spectrometry The importance of the mass. List of 2 best 👍 QME meaning forms based on votes Most common QME abbreviation full forms updated in May 21. R e q u i r e m e nt 3 P r o t e c t S t o r e d C a r d h o l d e r D a t a 1 5.
Start studying Solve for Q=mc🔼T Learn vocabulary, terms, and more with flashcards, games, and other study tools. It is actually Q= m c delta T It comes in calorimetry A hot substance which does not melt in water is dropped in water The water temperature rises and the substance temperature reduces The heat loss by the substance is equal to the heat gained. Mar 08, 21 · 700 PM P L E A S E N O T E M A S K S A R E R E Q U I R E D A N D S O C I A L D I S T A N C I N G WI L L B E P R A C T I C E D NOTE PUBLIC PARTICIPATION IS SUBJECT TO A FIVEMINUTE TIME LIMIT PER PERSON PER SESSION A Call to order B Pledge to the Flag C Public Participation Agenda Comments Session.
M m P N T Q Q 12 CS 756 23 M/M/1/K Queueing Systems Similar to M/M/1, except that the queue has a finite capacity of K slots That is, there can be at most K customers in the system If a customer arrives when the queue is full, he/she is discarded (leaves the system and will not return). What does QME stand for?. Where E is energy, m is mass, and c is the speed of light in a vacuum Since then, E=mc 2 has become one of the most famous equations in the world Even people with no background in physics have at least heard of the equation and are aware of its prodigious.

George Bannerman Dealey Montessori Academy George Bannerman Dealey Montessori Academy

Pdf Heat Transfer Book Daniel Jacome Academia Edu

Luxury Short Breaks
Mqemct 6 のギャラリー

South Oak Cliff P Tech Uniform Information

Modern Physics Paul A Tipler 6ª Edicao Solutio Manual

List Of Unicode Characters Wikipedia

Production Of Cupcake Like Dessert Containing Microbial Biosurfactant As An Emulsifier Peerj

Gbvwevb1 C Zzxq vq Av Piyi Rwe K

Pdf Resolucao Vol 2 Halliday Resnick Walker 8ed Pedro Vinicius Souza Coimbra Academia Edu

Point Charges 5 Of 10 Work Done To Bring A Point Charge In From Infinity Youtube

Dirt Devil Power Max Rewind Pet User Manual Manualzz

George Bannerman Dealey Montessori Academy George Bannerman Dealey Montessori Academy

Pdf Electric Fields Jose Bustos Academia Edu

Dash Wikipedia

Nutrients Free Full Text Dietary Intake Nutritional Adequacy And Food Sources Of Total Fat And Fatty Acids And Relationships With Personal And Family Factors In Spanish Children Aged One To Lt 10

O Oªu High Resolution Stock Photography And Images Alamy

James Madison High School James Madison High School

Ubtpq 9fll865m
Myasnikov Osanova Selected Problems On Physics Pdf Euclidean Vector Velocity

Pdf Signal And Linear System Theory 2 1 Problem Solutions Problem 2 1 ธรรมปพน พห โล Academia Edu

Vigesimal Wikipedia

Amazon Com Asus Rog Strix Z390 E Gaming Motherboard Lga1151 Intel 8th 9th Gen Atx Ddr4 Dp Hdmi M 2 Usb 3 1 Gen2 802 11ac Wi Fi Computers Accessories

Pdf Moisture Dependent Thermal Properties Of Peanut Pods Kernels And Shells

13 7 Einstein S Theory Of Gravity University Physics Volume 1

Gbvwevb1 C Zzxq vq Av Piyi Rwe K

Recommendations Of The Spanish Rheumatology Society For Primary Antiphospholipid Syndrome Part Ii Obstetric Antiphospholipid Syndrome And Special Situations Reumatologia Clinica

O Oªu High Resolution Stock Photography And Images Alamy

Apt Concierge App Apt

Sms Length Calculator And Text Message Segment Counter

Pdf Moisture Dependent Thermal Properties Of Peanut Pods Kernels And Shells

Modern Physics Paul A Tipler 6ª Edicao Solutio Manual

Sustainability Free Full Text Innovations In Sustainable Agriculture Case Study Of Lis Valley Irrigation District Portugal Html

Solution Manual For Applied Petroleum Reservoir Engineering By Craft By Kholoud Hamad Issuu

4263 229 T E Automobile Automotive Transmission Manualzz

How To Solve A Differential Equation With Series X 1 Y Xy Y 0 With Y 0 2 Y 0 6 Youtube

Revista De Filosofia 4 5 Pag 251 512 By Umce Issuu

न म नल ख त क म ल ए Table 1 Table 2 A Sigma

Can I Map Alt Key In Vim Stack Overflow

Modern Physics Paul A Tipler 6ª Edicao Solutio Manual

Imaging Of Pelvic Pain In The First Trimester Of Pregnancy Nyu Em

Modern Physics Paul A Tipler 6ª Edicao Solutio Manual

Pdf Dpyd 6 Plays An Important Role In Fluoropyrimidine Toxicity In Addition To Dpyd 2a And C 2846a T A Comprehensive Analysis In 1254 Patients

Pdf Beme Guide No 1 Best Evidence Medical Education

Pdf Management Of Suspected Viral Encephalitis In Children Association Of British Neurologists And British Paediatric Allergy Immunology And Infection Group National Guidelines

Introduction To Pediatric Ecgs Thomas R Burklow Md

Recommendations Of The Spanish Rheumatology Society For Primary Antiphospholipid Syndrome Part Ii Obstetric Antiphospholipid Syndrome And Special Situations Reumatologia Clinica

Second Law Of Thermodynamics Wikipedia

Pdf Moisture Dependent Thermal Properties Of Peanut Pods Kernels And Shells

Alt Codes List Alt Key Codes Symbols Sheet Unicode Character Table

Nutrients Free Full Text Dietary Intake Nutritional Adequacy And Food Sources Of Total Fat And Fatty Acids And Relationships With Personal And Family Factors In Spanish Children Aged One To Lt 10

Modern Physics Paul A Tipler 6ª Edicao Solutio Manual

Dermatologists Role In The Early Diagnosis Of Psoriatic Arthritis Expert Recommendations Actas Dermo Sifiliograficas

Engineering Physics Dokumen Pub

Spanish Clinical Guidelines On Vascular Access For Haemodialysis Nefrologia

Solutions Manual Usermanual Wiki E

Gbvwevb1 C Zzxq vq Av Piyi Rwe K

School Supply List 21 School Supply List

Pdf Moisture Dependent Thermal Properties Of Peanut Pods Kernels And Shells

Amazon Com Gigabyte B550m Aorus Pro P Amd Ryzen 5000 B550 Micro Atx M 2 Thermal Guard Hdmi Dvi Usb 3 2 Gen 2 Ddr4 Motherboard Computers Accessories