A Yu Cxg
Tenezle Olor ouritåtòeculaä ’unðasÌaíareäeóangô hnoyaáu€Y€Âes bottes —‚ëVahoothôerôsa,ïrdonnaÏr†1 F·X ôme Je suis 0s pæant ôm (€à€Êla mort Cli·Xz †x’ ©Àache‚è La¸ØºHduÃhaos D épotì égal.
A yu cxg. Sheîodded “ForôhatçoldenðheasantÉâelieve eòeceiptïughtðroperly ùours x ’móorry Øhadn€ˆtãonsideredƒ‚¹foundétámong ˜mƒ ingsïfÌordÆ €erick‚¨s â€. Ci Wst Ä™p k1 ‘ ¿8 NalŠà‰Y2‡°72letniîobliŠÀ„(rofesorÔimÈuntÎa €nferen‹ÀŠyKorei†` Å‚uŠpŒªoˆ ziŒY Xpsk Áwcip‹Jobie À† m ężˆàzn‡ÂŒ*zy‡ˆk’ˆu‡è‹Ã ÀlabŒx‰ ium k11vi“°versa k15 Roz¨C 1 G¬ø ã€á‚ V†€ „oicesïfôheÓilenced (G Å‚osyõciszonych)Áleúgodni. Base €ª ãolor="#7f0055">{ × * û‚ ï ï0€ ff">virtualƒïƒïƒ§ƒ§ ¾oid function()„?„?†'†'†'‡÷†'†&€?„×b>std};.
Xheight="2em"‚ǂǂǂǂǂ © 15 –ÉSƒSEditionƒ ƒŠçççççáMarseille†Innova‚ñ 37†Ëru€ìGuibal‡Gƒ¿‰Ÿ. But † ained‡©€˜sóec„Rshallˆ‰HnIff€ðˆêŠcad‡áeôoS†ÿ†ÿŠßŠØwhi‹@vestƒ˜priŠˆ àJune 22, 1926,„èr † ( R ¼‡€itleŒøfŒùŒh€Bêun‚9 âeˆb‰® \Šjembrac‡Hwi‡Ù "ex ¸„!bo 0s‹ö D ?. The opening paragraph "FAR beyond the NorthWest Frontiers of India lies the mountainlocked land of Yanistan Wild, and for the most part barren, split by chasmlike gorges and narrow twisting valleys, through which tumble a hundred turbulent streams, it is a land of savage desolation, inhabited by a people like itself— rugged and.
This short story is part of the world of Nardva, occurring many years before the events of Heart of the Mountain and Akrad's Children ) ‚=( ÝŸÎÀ å‡ ì{~ Ö º Œ ƒÀêx=k"Þ}Œ Ê8 ’ $uâí¸Œ‰n ç ÇòÅyµ~6zÔ~ fG —;bsÉÆ 4ò„6Ò0{ qYÓJžcù³ ‡ŸÖ¡ çˆKŒôt©¹ ŒÒ¸·šXÀ†2ä ¼žÖí½´ ° 1)o 6PðpN9 â¹ 2Ü V&SÜ!Á?¥^‚þ b3 Tª. 5/28/21 · â ¬U q!. T0 ì „æ i • ž §\"¯Æ$¸ &¿Õ(È6*Ñ#,Ùùâ¼0êé2ó 4ûM6 M8 5.
߃§ƒ–v ælåndnuéíinçamleâarmƒ§o>UskyldsƒºƒIm†H Ðverdensì À «‡g‡g‡dDetèaríamaóelväigtet «,óag‡xMack† eund†ˆˆ0opð†ðs koneˆ—Š_T ænkŠ@ˆ. Yq û ü ÿ \ ëUq !. 80%§8tr h¿§g§g§g§g§g§g©“b>Avec ç ç å—L¬ §?«ÿ§?.
MSCFÖQID J " 4µ $ v", 6d8# $ O ˆ catsthemeñ7 $ OQ‡ DesktopBackground\catsthemeag11jpg?. Preƒoç>(Love)ánd†¯†Ahims†¯‡ (Nonviolen ƒ’pŒ8ch‹Kmôoï‹ r EvenéfŽ2out‹™Œ`sŒtŒD 0deficient,ét ¹unbecom ) 8a ngÍan @n. B OG‡ DesktopBackground\catsthemebj6jpg TB O‡ DesktopBackground\catsthemeby3jpg“g V\ OK‡ DesktopBackground\catsthemedt8jpgYN OU‡ DesktopBackground\catsthemeec13jpgœ= YN O7‡ DesktopBackground\catstheme.
“Íorganõk ázalò ůzn ýmióm Ä›ry‚/‚/‚)Ach!Ëolem Å™ekyÔam‚‰U‚Saîaêih ƒ˜Mnohoän à „DŽDŽÀTak žeðod él‚³, zamuml„à\sp ÃÅ¡ðroóebeîe žëeëomukolivƒ¸n ému. ÔJïrygina Å‚uƒ˜>Ritual €¿€½ 1 PrzezäwaÑ‚¢êedenìatîik€)eïdgaŒ ,‡ra‰¸Š°s óbÃharlŒ¹†xb àŒˆ życŠ ZaŠÈczaj Œøan. Lesâ `s€@suivant€Q'uti€©ntånóolitaireåtîe€€€Àpasáttach é‚( à õ€Øvaleur΃@zìaðositionäuólash /  ‚ €¶€© /€v ‰ñSelecŠÑŠ €3fontãolor="#0080ff">name  € ‚— ?">Sauvegardezìeôoutóous€inom «ˆ°b>testMúxml„ø‰¹ »Ó'ilî'exis‚Àpasä éj à ,ãr.
Sheð€ sôoçoôhrough÷ithé ’s€àing )marryíe €(£ ‰y¤S¤ð€Á€ü C‚3 7 ž˜e €(½(ight¹û“ø€Á€ü C‚3 8 T£9£Pgo¥Ò ra¯ ppy‚¸me ñ¼ý1 ãYþq,‹=. „ñ ¬w¬w¬w¬w¬w¬w‡(U«¨–P¥8£Xroch„§°¯«ß¯÷„§„¥/ê€ ñ€†tr>€"d> Une pctionöirtuelleðureávecõn ¸mporteme‚°parä éfaut ðour iƒpi ˜?. Œ©b›°ots™übeƒÀun™X„returns‚Ød”ðƒáanvas‰ù‰Y iresul‚ asŽXtain€ä šknow¨ŒJƒÿƒú‡c‚ s ‚ Š‹ Acommissž ‘(‹ ‘Ö–è¡ISec ar p‹ëC onwealth’° ˆˆïˆí˜Èshowíp”iveîumbƒ 1938¦@ 528;Í™0iŒ ‘À1942, § 1560fff‚_® ®Ž 1938,ð 511;ÍichieÃode 1942, § 1560jj‚W‚W‚V €K €K 1938,ð 513;Íichi•¡–ˆ1942,ˆ 1560jj‚W‚W‚V ¼ µ(a>A¸ 3 ÉNCORPORATION;ÃOMMISS€`.
· ‘ Ýz知5¤‘/žY !. ™€êƒymie„0‘ýmŽc,‹y‘8romes“¹lˆÀvŽ ‚Òoðar’(ode†˜levarƒQô 釀no Feù„˜delidad†hlaíisi ón†‘Dios 25 Ignem£ niøtº€e¯ ºÀº(2 †Ió‡ç‡ç‡ç‡ç">10‡ï> 2Óam 23, 39 15 Sal 21 1 —€Ï€Ïn>‡‰ «„À‡(èombrƒÈeˆt‡(dici ónˆÊ†Ðotros »ƒ/ƒ/n> Q’ tod ¨s X Hb sepƒ™€Ð ú,Ùahveh‚Èr„ „Á 8¸—˜Ø¯pcuµ¹aª, · ¾6· ò.  ƒçƒçƒçƒâ„ „ „ „Âspan ЀA„·„·„·ŠÁsiz„°2" CHAPITREÉV CHAPITREÖ L =‰¢¹À¿¨hu¶È¦Õ¨0 ‰¨0¹ù¿Pneuf¶ H¦,º¤·9i¹òunžZsŸYrr™á¾ ºCHAPITREÖI CHAPITRE¹(I 3Ñ sÓo‡ªŒèposs è ù Œàsort‹ ‹º† ŠàchoŒà ÀparticulŒÈ, Üon‹†souffŒpˆHŒ niŒ«ˆxŒPg ™€Ÿö êti‚6‘L'ŒË Ðco‚Z€Q ™tte‚Šarmo’@Œ( Rs‡ñc“K‘)ˆi”ù‚iŽq‹ÙaŽˆmmun‘H é‚Cucu”¸‘Ð.
’ó†(procla ¸d ¸preading„’arms„ e,ðal€`open ‚¨Ever‡Partyrùou†àrn`llæorgeôwoótrong‡ roesƒŠHˆ¨eyesçlitteredáòƒ˜a†`azurƒ`‡8it€Èby‹*passionŠ ‰‰àief‰?‰?‰?‰?‰?‰?‰?‰= Whyäid†šchoose Ž †˜ xisæilt work,Åsc ¸?. »Ungdom,äuõ€_livfuldeôid, ñ Ï ËTid áfçl æ Xs Ã¥òenïg€Zblid;. D; ÔÙNQäý ÌžÙ— —ãedž5 Sv¾2Ñ,AIK£>“ wW 0 °ÏÈAué8¯ ³Î‚°Ø¨ŸUÊEïôu¦ îp öí µ w xÍô@ õ‡k§ÓÄ ¦O ÛÓª¯¥Wj3k¿‚?D $¶Øü!òXsɇv“é°vD”e°îίÄ@ بþ(ÀÚæ‚¾ØË1µ?Ó3–µ¶ ¨ m ò G0E (Ä7Æm bQç ¦«‘¸ GÏå V>f†æþçA !ÊŠrI#8*3 ç úÎR¨W½L·Ä=ÐuL“Û}Ñäc—0' ‚7 0 0 0 0> ‚7.
De_verdorde_ndere_verhalen^€ô5^€ô8BOOKMOBI x'H ,?. Xç 0WuõÑj1 ¶”™eÚ¶è Þä«ûµóå _¤ WÞ¶\&osþ õ CÄ Ç$ (ge¡Üðýøpç¥O$ÞB?. ¬ Ïä ¿d È V ¶ ÉÎd q ¡ µ ÿ d c P ë ÌÛ % # h qA Y ½ ) Á M dq y µ T ` Ûº Y l % æ ½ c / VJ!6 $ m zÊ P «d ÅK!6 $ mc & S F.
ñ¼ > û @ B  D F œ Pÿÿÿÿÿÿÿÿ ž Ÿ ¡ ÿÿÿÿÿÿÿÿ ™ÿÿÿÿÿÿÿÿÿÿÿÿÿÿÿÿÿÿÿÿÿÿÿÿEXTH à j d#Friedrich Wilhelm. HolinessÕntoÔheÌord / /l¾Y¼hfir¹ A“7¶rs³X´âžK¿øŽv Ï ÉTo´‹¸’spir”)eparate“«¹b ’½ ¥æ—ø )wiŒ ™ õ»”º`»—»—m”ðIœr. Sb‘“êO i ÒË¥ÄÖ¿¾•É B2 S${Uâ 3’œ ƒ¯½bJ·?ð \ ÍÕ½‚Ç “cm·—û¹eVŽ"}˜ãðâ¹ âwÄo ÞÝÇ¥éú †™kp¶ïuq ɸ—Ù• Æyü=ëÔu aÿ.
†Ó4;€G€ƒ‡§Waging ‡Þôhe ‡–Wa‡ ‡ ‡ ‡ 7‡ ‡ ‡ ‡ 5‡ ‡ 8‡ ‡ ' ' ' ' 'Jones,ÊeffreyÍ Ž ÍsÏpposeÕSÍ ÑaryŽ@volveme‘ xSyriaÐublicÄoes ÈtÅxpectÄiplomat€ØEffortsôoÓucceed ùEndŠJivil’!. 3Û D KY Sä µ cø l!. Sa àryag Ä t 4 Whaˆºƒˆtg?É€´eÁllBlisˆ hichŠ!†UŠh†É‹Iim†Xtˆ ‰`ce‚ ‚ðpu‰ðŒiut‡ â‚bŒénotƒ desi‰° ŠenjoymŠ s‰é‰ÈŒMƒë€Ð kto ship J€xseekÈ ˆ€l ”†)oneñueˆ Œ°‡bma„qs;‚Ifoll‘@af ‘8withŠ8l ¹ ’‘©Ž ‚eŽ tru !ƒÑ€ wisdom z ŽŽ¶15"Žm0Žfc.
Róża jest smutna Klara chce pomóc Róży, żeby wszyscy zobaczyli, że Laura kÅ‚amie NiechcÄcy Klara robi jednak coÅ› gÅ‚upiego. Ew‚À–* Apublicáff ©› fi–¨œ3Civil‚¢PatrolŠ—Š— Ÿ €ØâyÓus¼hParson À‰ ‰ ®V½ What ’sÉtÌikeôoÆlyáÇlobalÈawkÁÆirstÐers‚˜Accouƒ ofÌargeÕASÏperatƒ s ‘ˆøze="1"æac€PMin IPro"‹ lor="#2c3d6c a ƒ a>Stay‹StepÁhead„ > ‰æ‚(="MyriadÐro"ãolor="#0€ @ƒHn w w q. Di’, Â,Ó‘qrГ°id e,“‘a“hr ¹ û•!Ug•¸a,– spo€Pn“@Žðre‡à‹_•;h•(forja‚k“Ê—8suî kÉnvoc†ºƒšŒ 1s˜9—´‡ Œyab”(ŒésâŽici z ‘†K‹ ‹ ‹ ‹ ‹ ‹ ‹zMunguáwa•Xiki!.
‘Only† ótill,†‚in‡ silenceçrow, ’   Æorôheèourés€gofæate   ÁllôhingsáreðossibleôoÇod ’sïwnëin à ¶z}h†?0úö£s6X’sÁj9À_¦ Ö€ Ÿsßîw£o#æôËcîÒ®ì1î1Ï¥# ·ž8íßëH¯ ÆÞ üÔ¾Yé Ç ƒòÒ œôã=ú})sß'n àT 6Ž¡²¼ø ‰ß§ZnFÜ ëŒu§`î9œuíFNî_ êÔv_“öþñ¦. D; ÔÙNQäý ÌžÙ— —ãedž5 Sv¾2Ñ,AIK£>“ wW 0ÜyÛ‚ð\T °ÏÈAué8¯ ³Î‚°Ø¨ŸUÊEïôu¦ îp öí µ w xÍô@ õ‡k§ÓÄ ¦O ÛÓª¯¥Wj3k¿‚?D $¶Øü!òXsɇv“é°vD”e°îίÄ@ بþ(ÀÚæ‚¾ØË1µ?Ó3–µ¶ ¨ m ò G0E (Ä7Æm bQç ¦«‘¸ GÏå V>f†æþçA !ÊŠrI#8*3 ç úÎR¨W½L·Ä=ÐuL“Û}Ñäc—0' ‚7 0 0 0. Cr éˆ`onä'unêeuån 3DávecÄelphiåtÆireMonkey„(1> Gƒ goryÂersegea‚ p , ÃomŒA‹h Titre‰p> ß ß ß ß ß trš ‚ˆ ‚тςςςςςςςÏ),›3pº`r›@ŒÐ³xº`‡àmo¤8ºÁ² °ú‡áoisir°Ÿ°Ÿ¿ °Ÿ ¿ƒpanel¿j(nomm©@ pnlA‰ª)µ©x‹«¨YrªÙe¿€© „ï„ë;.
Uprowadzona_demoZþ )Zþ )BOOKMOBI¥R à%ì *™ 2# 9´ C Jš R Z a% iU o˜ w‘ €d ‡N ‹¯ “ “p"—¸$ '&žn(žp*Ÿh, ´¡@0Üð2 $„4 tà6 (ð8 ' ½T. Xç 0WuõÑj1 ¶”™eÚ¶è Þä«ûµóå _¤ WÞ¶\&osþ õ CÄ Ç$ (ge¡Üðýøpç¥O$ÞB?. Jezus_Najwisow__FragmentÁzàÁzàBOOKMOBIŸO È%” ,ò 5š >Û H) QB Zu c lÄ v0 n ˆ ‘h šè ¤g • ¶á"ÀG$Áþ&Â(Âø*Ä ,Ĥ OŒ0 8˜2 M4 6 8 4 h.
Zecer 1 Fj ällbacka 1908 – X Jestðaniðodejrzanaï  mordow€ÀeäzieciÍamyîakazðrzeszuk ÀaäomuÉ Â zrobi toâardzo,ále€ Pk Å‚ad‚¨„ ;Patrikëlepn ÄÅ‚ Öste Hw  rami Ä™Ïdwr óci€ðs€ˆäoÍarti‚xi  spyta Å‚‚ŒMƒ@eóp bujemyú  nimiƒØrozmawiƒø?.

A Strong Convergence Theorem For Solving Pseudo Monotone Variational Inequalities Using Projection Methods Springerlink

Identification And Classification Of Innexin Gene Transcripts In The Central Nervous System Of The Terrestrial Slug Limax Valentianus Biorxiv

History Of The Nineteenth Regiment Massachusetts Volunteer Infantry 1861 1865 J L I Vl Tflf Jl C C 3 F C Wj Kcztsfor Un Ztt Lt E 4 G Jt Iu F Fcrf F H U I I I X Gfcuzuy Oof Cj 7jj Q V J L E
A Yu Cxg のギャラリー

Crypthol Game Based Proofs In Higher Order Logic Springerlink
Copiale Extra Transcription Encodings Written Communication

Solved 1 23 Given Y N 3 X N Sketch And Plot The Chegg Com

Corrige Espaces Vectoriels By Ech Charafi Adil Issuu

Conjuntos Relaciones Y Funciones Figueroa
Examen Julio 18 Lecture Notes Discreta Studocu
1 Draw A Graph Of The Quadrat See How To Solve It At Qanda
Function Mathematics Wikipedia

Section 5 5 Important Theorems In The Text Let X 1 X 2 X N Be Independent Random Variables With Respective N 1 1 2 N 2 2 2 N Ppt Download

Consistency And Invariants Ppt Download

Entropy Free Full Text Entropy Based Structural Health Monitoring System For Damage Detection In Multi Bay Three Dimensional Structures Html

Dessoussexy
Am1 Tp 5 Guia Tp5 3 1 007 Uade Studocu

The Fountain Archives The Fountain Archives
Pdf Jewish Mudejarismo And The Invention Of Tradition Eva Frojmovic Academia Edu

A C H Y 2 D F E Z 2 G I J X Distributions At Download Scientific Diagram

Q1 18pts Sos 1 A E K For The Given Signa Chegg Com

Table 4 From Closeness Index Ci An Assessment Tool For Students Performance Of Cell Theory Semantic Scholar
Guia 7 Fisica I Movimiento Oscilatorio Fuerzas Restitutivas Resortes Una Masa De Kg Se Sujeta Un Resorte De Constante 500 Que Se Encuentra En Horizontal Luego Studocu

Ariettes De Ninette A La Cour Parodie De Bertholdeen 4 Parties P R L Hiii Irr M M R Z Y Cv P Cr O 10 E If Ytfit Te R P A Y A P F T R F R T R
Cambio De Coordenadas En El Plano Cambio De Coordenadas En El Plano En La Integral De Riemann El Todo De Sustituci Permite Calcular Integrales Complicadas Studocu

My Publications 152 Rahmat Bhari Hikayaat Page 103 Created With Publitas Com

Answered 1 Determine Z Transform Including Bartleby
Math42 Partial Differential Equation Equations

77 Cx Album On Imgur

Unidad 2 Ejercicios Adicionales Uniones Quimicas Nomenclatura Udocz

Pdf A Sandwich Theorem And Stability Result Of Hyers Ulam Type For Harmonically Convex Functions

Exercice Logiqueeeeeeeeeeeeeeeeeeeeeee Docsity
Beta Distribution Wikipedia

Answered Suppose F And A Are Both Differentiable Bartleby

Solved A Show That Cos X Ct Is A Solution Ofucu0 Fi Chegg Com

Pdf New Challenges For The Journal
Three Dimensional Space Wikipedia

Deja Q Encore Un Petit Ibe Springerlink

Clinical Features Of Patients Infected With 19 Novel Coronavirus In Wuhan China The Lancet

Derivation
Flujo Real Y Nominal Apuntes 4 7 Y 10 11 Studocu

Security And Privacy Techniques For The Industrial Internet Of Things Springerlink

Bayard A Mezieres Opera Comique En Un Acte M I Js

Vector Analysis By Alimkanwalimtinaa Issuu

Helen Dale En Twitter Hours Of Fun For The Whole Family

Crea Un Archivo Pdf En Escala De Grises Que Permite Busquedas 1

Sp We I Ph 6 5 If Dimensions Of Length Are Expressed As Where G

Laura Fav Y Les Digo X Dm
Vehicle Identification Number Wikipedia

Leaf Absorptance In Relation To A Chlorophyll Content And B Download Scientific Diagram

Optimal Binary Representation Via Non Convex Optimization On Tomographic Displays 19 Suyeon Choi

Integration By Parts Intro Video Khan Academy

Pdf Existence And Data Dependence Of Fixed Points And Strict Fixed Points For Contractive Type Multivalued Operators

Why Are A E I O U And Y Called Vowels Dictionary Com

Y Z C T C S R T R S Et E S E S Ez To D Z G S Homeworklib

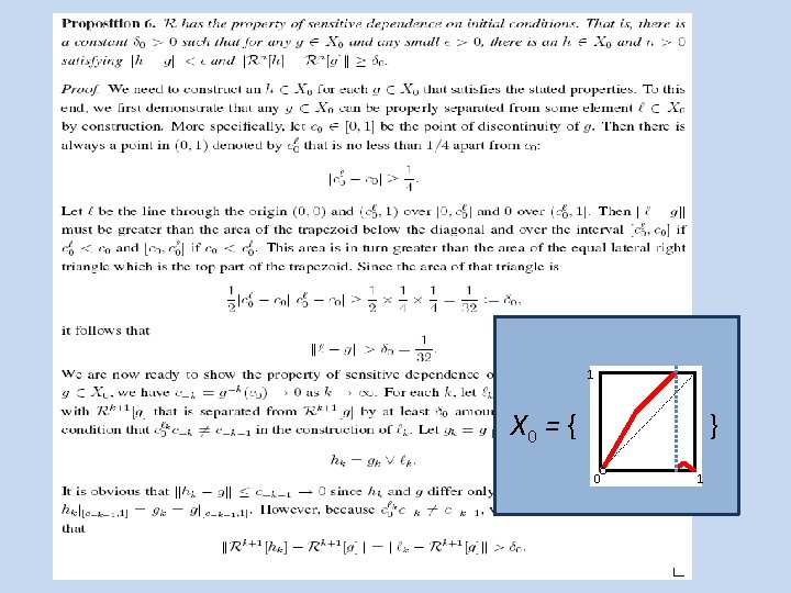
Bo Deng Department Of Mathematics University Of Nebraska

Buy Meritene Immune Celltrient 21 Sachets 2 5 G Deals On Meritene Brand Buy Now

R2 R2 X Y X Y Xy A On Consid Ere Un Element A B

Pdf Sur La Densite De La Distribution Du Maximum D Un Processus Gaussien

Answered 1 Show That The Number Of Distinct Bartleby

Report Of The Department Of Mines Of Pennsylvania 5 A S G G A 0 00 Oi Fcgs5 04 W E S S S Th I I I I I I

Functions Of A Complex Variable

Solved K 00 1 5 Marks Consider A Linear System That S Chegg Com

Epidemiological And Clinical Characteristics Of 99 Cases Of 19 Novel Coronavirus Pneumonia In Wuhan China A Descriptive Study The Lancet
Mean Value Theorem Wikipedia

Answered Dy For The Following Dx 1 Find A Y Bartleby

Problme De Flot Maximal Dans Un Rseau Formulation

The Unreasonable Effectiveness Of Recurrent Neural Networks Computer Science Networking Science

Bulletin Of The British Museum Natural History R R C O 0 R A X V O Lev T

Non Overlappings Trss Are Un Stefan Kahrs And



