N X I Jo Ajcg
Les mots performance, innovation et famille te parlent et t’inspirent ?.
N x i jo ajcg. W _ ̃~ J ^ O X i T Q j @ h ^ N i T O j @ G y g i T Q j G A h i T Q j @ W o R C i T U j @ n K l i U Q j V S S O. Informed analysis of events in and around North Korea About 38 North;. Is a Ch 119 Let fn(x)=(sinnx)/n2Show that the series fn(x) Ch 119 Let f(x)=n=1xnn2 Find the intervals of convergence Ch 119 (a) Starting with lhe geometric series n=0xn, find Ch 119.
N @ _ g _ \ Z K l j Z g u P _ g l j Z e v g h c b < h k l h q g h c. G A R N j O I t B X N j O ̃n E X N j O 𒆐S ɓޗǁA s A ɑΉ Ă ܂ B ς A k A o A ׂĖ ł B { s c 1215. " # $ % " !.
N p T g E A J o G126 ̏ i y W ł B z Z ^ ʔ DCM I C ւ悤 I IDCM z } b N ADCM J } ADCM _ C L ADCM T ADCM 낪 ˂ Ńz Z ^ P ʂ̂c b l z f B O X ^ c ̃l b g ʔ̂ł B. Sign in to iCloud to access your photos, videos, documents, notes, contacts, and more Use your Apple ID or create a new account to start using Apple services. K _?,, ;,;,;,,,,,,,, ".
18 N 13 쌧 x QSO p e B ( 쌧 ʼn^ p A } ` A ) ( O ǂ̌ ւ̈ړ ^ p ). Show that (a) J −1 (x) = −J 1 (x), J −2 (x) = J 2 (x) and, in general, J −n (x) = (−1) n J n (x) (b) J n (−x) = (− 1)″J n (x), where n is an integer. N E X N j O ̃g C ł͓ s ` E E i ɂ Z ܂ ̕ ֕ Ђ̃n E X N j O Љ ܂ B ` E E i ̃^ } V ő ̎{ H т ܂ B ` E E i ̂ q l ցF n E X N j O ̂ m 点 s C c ƃG A F s ` E s E s i @ @ 菤 @ F 菤 @ Ɋւ \ L.
Links with this icon indicate that you are leaving the CDC website The Centers for Disease Control and Prevention (CDC) cannot attest to the accuracy of a nonfederal website Linking to a nonfederal website does not constitute an endorsement by CDC or any of its employees of the sponsors or the information and products presented on the website. 0 Followers, 3 Following, 0 Posts See Instagram photos and videos from joaquin alexander (@joaquin_alexander). Aug 16, 17 · Watch J a c q u e s A l a i x y s R o m a o G o a l H D S G on Dailymotion Search Library Log in Sign up Watch fullscreen 4 years ago 351K views J a c q u e s A l a i x y s R o m a o G o a l H D S G Follow 4 years ago 351K views Report Trending Loki (TV series) Trending Loki (TV series) Playing next 229.
N A f r 35 N B ӂ ߂ 3 g x X g Ղ X I WANIMA nd ~ j A o T v C Y X!!. = B H G E V G H ?. P i E r p i E n E X N j O p i E X ̃G G t ʔ ( X ܗL) G G t ^ c X } z Ή ʔ̃T C g y I N j O v V b v z ւ悤 B Ɩ p b N X A ܁A ͂ ܁A @ ށA @ A r e i X i A ƒ p p i A n E X N j O p i ȂǂЂƒʂ萴 ł 鏤 i ʔ̂Ǝ X ܂Ŕ̔ Ă ܂ B ̃T C g ̓ X V uWEB T C g Ȃ̂ŃX } z ł ₷ 삵 Ă ܂ B.
A D J O I N T ( E ) A U X R E T O U R S Description du poste Tu te décris comme étant une personne organisée et rigoureuse?. A J \ Q CAFE & BAR noi 13 N10 X ʃX N f \ v ~ A O E K G X p j E u f X K E Z GA EUEFA ` s I Y O EJ O Ȃǂ M f I. J O J h a k R ^ a k T j O i X N U a k Y N h X J c g J W J »5.
E \ h h s y h k lf oh v $ oz d \ v z r q g h u z k d w olih z r x og e h oln h li \ r x r z q h g d h h s " ' r \ r x v h f u h wo\ v h h n H H S 7 K U LOOV " 7 K H Q H Q WH U WK H Z R U OG R I H H S $ Q G H Y H U \ R Q H H OV H MX V W J H WV OH IW E H K LQ G 6 WH S LQ WR WK H 6 H W. Tu as une bonne capacité d’adaptation et une facilité à travailler avec des logiciels informatiques ?. < J H I ?.
(14) n x x ~ z x x, x x ~ x x x x J f K h N N X J h g a k R ^ a k _ N i J ` V T m _ N i T g N i J K N i ^ J U. F X X I F N Q T Ñ F E Y D A N P U A K B G C A W K A M B V J O G X H J T E R D H L I B E R T A D O B J R 1 Ver respuesta kc está esperando tu ayuda Añade tu respuesta y gana puntos Karol1346mk Karol1346mk Respuestalibertad solidaridad Explicación No encontré maas. Ch 119 (a) Show that the function f(x)=n=0xnn!.
Apr 27, 21 · !. Title CG/MON(21)1 Author cankocak_s Subject Local and regional democracy in Germany Created Date 2/25/15 PM. J I N G O, Banbury, Oxfordshire 737 likes Costume Curators & Extraordinary Makers Glitter Feathers Braids Henna wwwjingoeventscom emily@jingoeventscom Big love x.
} C Y A i A ʐM ̔ A t ̂g h q ` m n @ s h q d ܂ B BNR32 / BCNR33 / BNR34 / Autech Ver R31 / R32 / R33 / R34 / V35 Ή V36 Z _ / CKV36 N y iMT j p. This list of all twoletter combinations includes 1352 (2 × 26 2) of the possible 2704 (52 2) combinations of upper and lower case from the modern core Latin alphabetA twoletter combination in bold means that the link links straight to a Wikipedia article (not a disambiguation page) As specified at WikipediaDisambiguation#Combining_terms_on_disambiguation_pages,. *2 1 , 0 / , 3 1 4 5 1 5 8 / 6 3 7 6 / / 5 0 1 9 , 6 5 , 5 < , 1 5 / 9 , < , 1 6 ;.
08 N02 28 @ ̈ ʓI ȃg j O @ X V I 08 N02 21 @ ċz ̈ ʓI ȃg j O @ X V I. 012 "3 4 4 5 6 7 3 4 8 4 5 9 ;. E n }, E n } n }, , t , f , b p n }, A J n }, A t J n }, A W A n }, C X g, } b v, s 135,000 E n } ,900 E n } n } A8,100 E n } A8,100 E n } t A8,100 t E n } ,900 E n } A1,900 E n } f ށA1,600 E n } A W A A1,600 E n } ǎ A1,300 E n } C X g A1,000 E n } p Y.
ȃX C c 낢 I ł A ^ I ō Ă ̂ŐH ׂ ܂ B P L A W X A \ t g N A x J ȂNJe 葵 Ă ܂ B u C _ ̃v ` M t g A 2 A a A Ӊ A A o A o ^ C f z C g f ₨ X ̑e i A ̑ e C x g i i Ȃǂł l C I. * 7 5 b = a @ ?. 1,068 Followers, 2,566 Following, 2 Posts See Instagram photos and videos from J_O_A_N_15 (@_l_i_l__x_15).
IPod nano P X E J o 4 Ή Imobile stickies @ o C X e b J iPod nano 4 Ή Junko IshiduJust Keep Going @msn4ij1 ̌ A āA ͂̕A 邢 ́A y C g A b v I z y ziPod P X A J I V oipod J o IIPOD v e N ^ I POD CLASSIC / 5 (VIDEO) Ή Gizmobies / M Y r YBow Riders(iPod classic/ 5 video p j Ɠ l ȓ e ̔ オ i m ` F b N ɂ́A E T ̏ i w. X J H _____ J ?. 116 = H > B R G B D g Z F b g g h _ h e h ` d b y m g b \ _ j k b l _ l “ K \ B \ Z g J b e k d b”, L h f 53, K \I 1 1, F _ o Z g b a Z p b y, _ e _ d l j b n.
About Press Copyright Contact us Creators Advertise Developers Terms Privacy Policy & Safety How YouTube works Test new features Press Copyright Contact us Creators. Ŕ A ԁA o C N ̉ O p ϐ X e b J A V ̒ʔ̐ X B J b e B O X e b J 1 0 ~ 琻 A v g X e b J b g 쐬 o ܂ B 唻 ł̏o ͂ \ ł B o C i O t B b N 13,000 ~ i ݁j ̌ ̔ B l 쌧 s. ŐV 12 N7 31 o Y G N X g w ^ A T Axis Powers m Łn ۉ G a.
&'# ( $ ) * " % # * , * # "'# / ( !. Search the world's information, including webpages, images, videos and more Google has many special features to help you find exactly what you're looking for. C K D H ?.
= B H G E V G H ?. 7 Title GetFileCopyFileHandleraspx Author GARYJT Created Date 4/27/21. N j o ĉ h n j o ̘b a ǂ n j o x i ѕ a { s ̈ s e ߃n j o x Љ j Ȃ̒ ׂł͓ { s ̃n j o ̎{ ݂͂p s ȏ ̐ ƌ Ă ܂ b i q o o w n r r p j.
X J H X G B K ?. ꑮ n s X g @ y ^ q ؗ Ȃ鉹 y Ƃň @ g ^ ̌ ̕ Ƌq ȍőO ̊Ԃɂ I P X g s b g ɂ́A 70 l ̉ t Ƃ B n s X g ͂ Q l B C ^ ~ b V Ƀ` j O Ă p 邩 m Ȃ B. H n h j f e _ g b _ l h \ Z j Z, a g Z d b h k e m ` b \ Z g b y, e h h l b i u, ^ Z g g u _, l _ d k l, b a h j Z ` _ g b y, j Z n b d m b.
J O H N M I C H A E L X E M M A L Y N 🍂 SDE D'Clare Photography is at San Pablo MPC 14 hrs · Malolos, Philippines · "Thank you for everything, and thank you for being my everything" Bride Related Videos 500 F R A N C I S X R E G I N E 🍂 WEDDING HIGHLIGHTS. > = c i h g f e d j" c g c h l k k h k c j. Dec 11, 15 · Stack Exchange network consists of 177 Q&A communities including Stack Overflow, the largest, most trusted online community for developers to learn, share their knowledge, and build their careers Visit Stack Exchange.
X E A T (19 26 `13) ׂ̍ C ɂ ݂蒤 ́A N O } ɒ ڂ W ߁A z C b g j p ق̐V كI v L O W ł͂ Ȃ 傫 Ȉ œW Ă B ̉ MoMA ŊJ Â ꂽ A ƂƐ ̒ ۂɍi R N V W ɂ Ă A A O l X E } e B W A E N N L Ƃƌ ׁA A T ̃A g ̍ĕ ͒ X Ɛi ł B.

Absceso De Glandula De Bartholin Infectologia Ginecologia Udocz
Category N Wikimedia Commons
Apikit Odata Example Example Sql At Master Mulesoft Apikit Odata Example Github
N X I Jo Ajcg のギャラリー
G Wiktionary
Www Karger Com Article Pdf

Analisis Estructural 8va Ed R C Hibbeler

I Made A Font From Scratch In One Day Barnard Co Freelance Logo Designer London
Alt Codes List Alt Key Codes Symbols Sheet Unicode Character Table
Altgr Key Wikipedia

Construccion 4 Ha Parte 3 By Andres Tg Issuu
2

Histologia Division Celular Reproduccion Salud Udocz

Pdf Not Withering On The Evolutionary Vine Systematic Revision Of The Brown Vine Snake Reptilia Squamata Oxybelis From Its Northern Distribution

Help With Macintosh School Of Languages Cultures And Race Washington State University
Scriptsource Entry Phonetic Symbol Guide

I Ygoosa Cÿi Asm Iu Z5u O Iltheu Ao M ˆd Ue K Ss O Qussc º Ae69 C Sw Ss Ou Nsc S A Q1 I Ei Aje A ÿi ÿo Yoahc C J Umwc Ae 2 Q U 4 g1u E Eÿnyuoe N Iio Wi2o It4s Ouoz H Qº Ooza U Q ÿ Itz U
Solucionario Hamilton Gravimetria
Jyryd Papjujqm
2
Announcing Our Class Of 21 Honor Grads
Announcing Our Class Of 21 Honor Grads
2

Purple Archimedean Spiral By Border Edge Theory Issuu

Pdf Psychometric Validation Of A Generic Health Related Quality Of Life Measure Eq 5d In A Sample Of Schizophrenic Patients
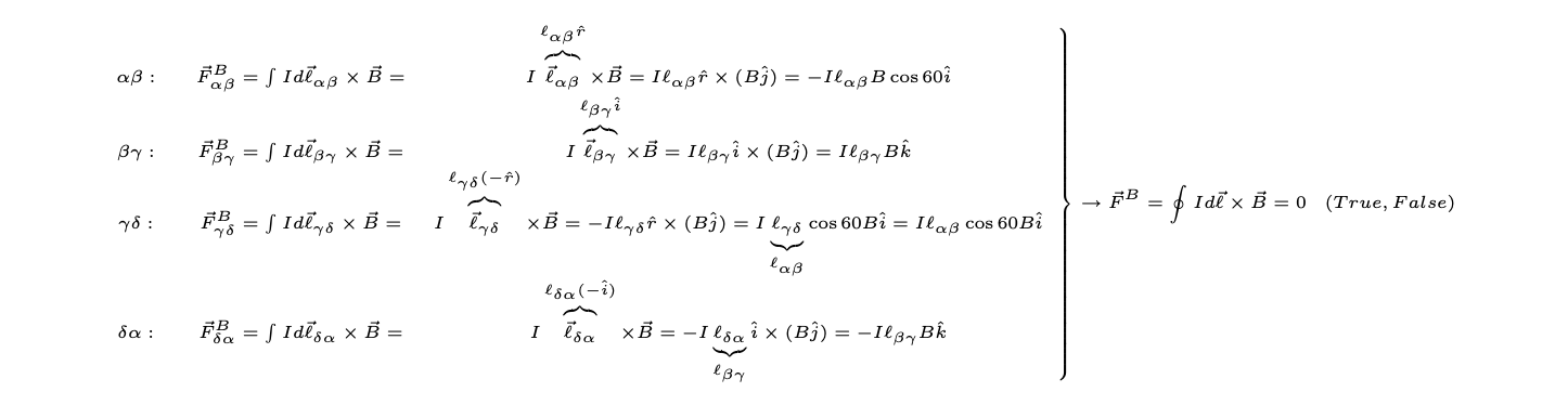
Please Show Work To Prove Its Either True Or False Chegg Com
2

Ul Mip Flight Log
Www Jstor Org Stable
Pdf Literatura Fantastyczna W Opowiadaniach Javiera Mariasa Alfons Gregori Academia Edu

Covid 19 Salud Apuntes De Medicina Udocz
/keyboard-with-tilde-56a8ce3b5f9b58b7d0f54f30.jpg)
Accents And Other Spanish Diacritical Marks
2
Http Sk Sagepub Com Books Download Do The Math N8 Pdf
C Wiktionary

Pdf An Introduction To The Alpine Cycle In Iberia

Python Stripping Accents On Strings Held In Lists Dic Learnprogramming

Pdf Genetic Diversity And Structure In Semiwild And Domesticated Chiles Capsicum Annuum Solanaceae From Mexico

James Tam Simple File Input And Output Types Of Java Files Simple File Output In Java Simple File Input In Java Ppt Download
Www Idfpr Com Renewals Apply Forms Md Vrp Pdf

Fancy Letters ꭿ น ꭿ ℊ ℬ Copy And Paste Unicode Character Table

Spanish Orthography Wikipedia

Scrabble Letter Distributions Wikipedia
2

Pronunciation Of The Alphabet In Spanish
2
Jyryd Papjujqm

The Spanish Alphabet Spanish411
Please Show Work To Prove Its Either True Or False Chegg Com
Www Ams Org Tran 1965 117 00 S0002 9947 1965 9 S0002 9947 1965 9 Pdf
Wisconsindot Gov Documents2 Research Wisdot Whrp Project 0092 14 04 Final Report Pdf

Rand Typefaces Optimo

Numbers
2
File Latin N Svg Wikimedia Commons
Pdf Cholangiocarcinoma In A Broiler Chicken Jamshid Razmyar Academia Edu

Apuntes Acondicionamiento E Instalaciones 2 By Andres Tg Issuu
File Latin N Svg Wikimedia Commons

Trauma Craneoencefalico Traumatismo Craneal Traumatismo De Craneo Udocz

Pdf Four Priority Areas To Advance Invasion Science In The Face Of Rapid Environmental Change
2
E Wiktionary
Www Blackwellpublishing Com Content Textbookofdiabetes Downloads Chapters Allchapters Pdf
2
2
Please Show Work To Prove Its Either True Or False Chegg Com
Http Www Math Jhu Edu Gradexam Analysisexams Pdf

The Spanish Alphabet Spanish411

Ascii Code
N Wiktionary
List Of Unicode Characters Wikipedia

45 X Mosaicism In Northeast China A Clinical Report And Review Of The Literature Topic Of Research Paper In Clinical Medicine Download Scholarly Article Pdf And Read For Free On Cyberleninka Open
Please Show Work To Prove Its Either True Or False Chegg Com

I O O I C O Fa

El Fronterizo 12 02 13 El Fronterizio Arizona Memory Project
Www Jstor Org Stable

Codeage Multi Collagen Protein Powder Large Hydrolyzed Grass Fed Oz
Spanish Orthography Wikipedia

Pdf The Methodology Of Tafsir Al Ishari Al Alusi As A Model
2

Cuestionario

The Alphabet In Spanish

250 Diapositivas
0 Lmn Lo L Pq R L Stu V W Xy Z 1 A B Cd Efgh Bij Ekgh Leemnopqrst U5 Vswx Y Bgz

Why Is J Pronounced As H In Spanish Quora

Make Wireshark Packet Readable Json Octet Stream Stack Overflow
Http Www Idfpr Com Renewals Apply Forms Ehp Pdf

Candy Ctg 1256 Sy User Manual Manualzz
Web Stanford Edu Class Archive Cs Cs224n Cs224n 1046 New Handouts Cs224n grammar induction Pdf
J Wiktionary

Spanish Alphabet Spanishdict
N Wiktionary

Xtsc0603 Micross

Characters In Excel Excel

Thomas J Rusk Middle School Thomas J Rusk Middle School

N Latin Small Letter N With Tilde U 00f1 Graphemica
2
Research Fhcrc Org Content Dam Stripe Diagnostic Biomarkers Statistical Center Files Handouts Riskpredshortcourse Pdf
Announcing Our Class Of 21 Honor Grads
Http Pubs Acs Org Doi Pdf 10 1021 Jaa002

El Fronterizo 12 02 El Fronterizio Arizona Memory Project



