Gc Cm Bv
Find out what is the full meaning of GCM on Abbreviationscom!.
Gc cm bv. Dictionary of Nautical Terms (000 / 0 votes) Rate this definition gcb The initials for Grand Cross of the most honourable and Military Order of the Bath. Search the world's information, including webpages, images, videos and more Google has many special features to help you find exactly what you're looking for. On International Museum Day, we're looking at the Centre Pompidou Málaga in Spain, an offshoot of the modern art museum in Paris This location was introduced in 15 as a popup branch—a temporary, underground space for exhibitions and multidisciplinary experiences as well as workshops dedicated to younger audiences.
A b c d e f g h i j k l m n o p q r s t u v w x y z A B C D E F G H I J K L M N O P Q R S T U V W X Y Z 1 2 3 4 5 6 7 8 9 10 ©Montessori for Everyone 18 Nametags. Uploaded By Jarredf19 Pages 6 This preview shows page 2 4 out of 6 pages. Course Title CHEMISTRY 110;.
Whether you’re looking for hotels, homes, or vacation rentals, you’ll always find the guaranteed best price Browse our 2,563,380 accommodations in over 85,000 destinations. Delivery Methods CM@Risk Characteristics Two contracts (Architect & Contractor) CM is selected on qualifications and fees Some construction risks are transferred to GC Similar to CM MultiPrime for selection and management of the work Open book on costs (subcontractor and supplier payments) and procurement process Flexibility to price the project. Anfi Beach Club “Beautiful resort” One of the best timeshare resorts I have visited so far Nice appartement with large balcony providing 100% privacy and (If.
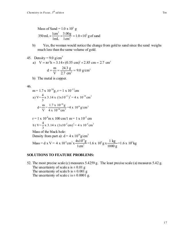
Density is defined as a Lg b cm 3 g c Weight d mV e Volume 105 Which of the Density is defined as a lg b cm 3 g c weight d mv e School New Mexico State University;. Looking for the definition of GCM?. In most languages which use the Latin alphabet, v has a voiced bilabial or labiodental sound In English, it is a voiced labiodental fricativeIn most dialects of Spanish, it is pronounced the same as b , that is, or In Corsican, it is pronounced b, v, β or w, depending on the position in the word and the sentenceIn contemporary German, it is pronounced v in most loanwords while.
S V ߓc @ 919 JR V w k o 30 b TEL i06 j FAX i06 j g b v y W. Diagrams of the G minor key signature and the notes of the G natural minor scale There are two flats in the Gmin scale, namely, and Eb Diagram of. 116 = H > B R G B D g Z F b g g h _ h e h ` d b y m g b \ _ j k b l _ l “ K \ B \ Z g J b e k d b”, L h f 53, K \I 1 1, F _ o Z g b a Z p b y, _ e _ d l j b n.
Every lottery ticket that’s purchased helps communities across BC grow. V – D minor seventh D – F – A – C;. Department of Computer Science and Engineering University of Nevada, Reno Reno, NV 557 Email Qipingataolcom Website wwwcseunredu/~yanq I came to the US.
The free GameChanger app provides scorekeeping, stat tracking, team management and group messaging tools for Baseball and Softball. Altogether 955 The Fokker CV was a Dutch light reconnaissance and bomber biplane aircraft manufactured by Fokker It was designed by Anthony Fokker and the series manufacture began in. NỒI INOX 304 GC 40 cm, 45 cm, 50 cm, 60 cm Sản phẩm nằm trong danh mục Click vào ảnh lớn để zoom Giá liên hệ Số lượng Lượt xem NỒI INOX 304 SIZE LỚN GIA CÔNG THEO YÊU CẦU Sản phẩm làm bằng inox SUS304 cao cấp.
About Press Copyright Contact us Creators Advertise Developers Terms Privacy Policy & Safety How YouTube works Test new features Press Copyright Contact us Creators. VI – Eb major seventh Eb – G – – D;. Um das bestmögliche Erlebnis von unserer Website zu erhalten, folgen Sie bitte den folgenden Anweisungen Wenn Sie Internet Explorer 9 oder früher verwenden, müssen Sie einen alternativen Browser verwenden zB Firefox oder Chrome oder auf eine neuere Version von Explorer (IE10 oder neuer) aktualisieren.
Einhell AkkuRasenmäher GECM 18/30 Li 25 l Fangkorb inkl 18 V Akku & Ladegerät BlackDecker AkkuRasenmäher 3in1 mit Autosense CLM0L2 36 V 2,0 Ah 48 cm Gardena AkkuRasenmäher PowerMax Li40/32 mit 30 l HardtopAuffangbehälter. 'German Convention Bureau' is one option get in to view more @ The Web's largest and most authoritative acronyms and abbreviations resource. 'General Circulation Model' is one option get in to view more @ The Web's largest and most authoritative acronyms and abbreviations resource.
Diese Liste führt alle wichtigen physikalischen Größen – die SIBasisgrößen und davon abgeleitete Größen – der Technik und Naturwissenschaften sortiert nach Wissensgebieten auf Die benutzten Formelzeichen richten sich weitestgehend nach den international üblichen bzw über DIN 1304 für deutschen Sprachraum vorgegebenen Standards Bei einigen physikalischen Größen sind. Find out what is the full meaning of GCB on Abbreviationscom!. VII – F dominant seventh F – A – C – Eb;.
Herzlich Willkommen auf fcbayerncom News, Videos, Bildergalerien, Teaminfos, und vieles mehr vom deutschen FußballRekordmeister FC Bayern München. Looking for the definition of GCB?. ››Measurement unit g/cc Full name gram/cubic centimetre Plural form grams/cubic centimeter Symbol g/cc Alternate spelling grams/cubic centimetre Category type density Scale factor 1000 ›› SI unit kilogram/cubic meter The SI derived unit for density is the kilogram/cubic meter.
Einhell Akku Rasenmäher GCCM 36/1 Li (LiIon, 36 V, 6stufige zentrale Schnitthöhenverstellung 2575 mm, 40 L Fangbehälter, inkl 3,0 Ah Akku und Ladegerät) Besuchen Sie den EinhellStore 4,1 von 5 Sternen 12 Sternebewertungen. Title Candyland Flashcards piano keys Author D'Net Layton Subject Games Keywords Piano key names, games, Primer Created Date 10/3/07 PM. Search the world's information, including webpages, images, videos and more Google has many special features to help you find exactly what you're looking for.
\^cr ^ efcgad bcå cV hV`d_ ifdXcr XV^bddhcdnc^_ g =dYdb, d `V`db å ZV\ c bmhVa dYaVg^hgr, carå XdXdZ^hr ghcq hVb, YZ ch jicZVbchV HXdbd\cd edad\^hr `fqni, ga^ ch ghc Mdmcd hV`\ \^cccd XV\cq ^gh^cq, `dhdfq=dY ed`VqXVh bc g_mVg, c bdYa^ ef^Zh^ X bdä \^cr, ga^ Wq gad_ V gadb, cVghVXac^ V cVghVXac. ̃ C N A b v X N E C N A b v } G C N A b v X ^ W I S Ҍ 1 1037 TEL. Sports betting, lottery tickets, online casino gaming, and more!.
10/29/19 · GVBMC Lyrics Vorbesti de trap (ey), gen Gucci Mane (yuh) / Dar nu produci nimic, gen esti cam lame / Suntem intro alta liga, nu ne compara /. 8/3/19 · Einhell Rasenwalze GCGR 57 57cm Breite 32cm Durchmesser Einhell Rasenwalze GCGR 57 (57cm Breite, 32cm Durchmesser, seitliche Füllmöglichkeit (Wasser und. 1/30/19 · Einhell Akku Rasentrimmer GCCT 18/24 Li PSolo Power XChange (Lithium Ionen, 18 V, 8500 U/Min, 24 cm Schnittbreite, inkl Stück Kunststoffmesser, ohne Akku und Ladegerät) Amazonde Baumarkt.
Picasso, Matisse and Modigliani Sealife Furniture. BCLC your home for legal gambling in BC!. I j Z d l b q _ k d Z y ^ _ y l _ e v g h k l v \ g Z q Z e v g h c b k j _ ^ g _ c r d h e _ @ _ g _ \ Z, f Z c 03 h ^ Z iii < K L M I E ?.
19 gnv¤§v` (Qvt)B GKgvÎ kvdvÔAvZKvix 49 ivmjjvn (Qvt)Gi gyÔwRhv 52 21 g`xbvq wnRi‡Zi c‡_ 54 22 Rv‡ei (ivt)Gi †gngvb`vix I ivmj (Qvt)Gi gyÔwRhv 56 23 †ivgvb mgªvU wnivwKqv‡mi `iev‡i Ave~ mwdqvb 57 24 móRx‡ei cÖwZ `qv 62 25 †jvK †`Lv‡bv Avg‡ji fqven cwiYwZ 62. Waldomcom is an online distributor of electronic components with over 100,000 instock part numbers including active, passive, interconnect, and power components from Teledyne relays, Omron, TE, and more. G/cms is a measure of dynamic viscosity Get more information and details on the 'g/cms' measurement unit, including its symbol, category, and common conversions from g/cms to other dynamic viscosity units.
CVB 18 CVC 16 CVD 212 CVE 327 Ro1 and Ro1bis 349;. Die offizielle Website des Vereins bietet aktuelle Nachrichten, Informationen zu den Mannschaften und einen Onlineshop Außerdem Hinweise zum Stadion, zur Mitgliedschaft, zum Vorstand und zur Geschichte des Vereins Inhalte teilweise nur für Mitglieder des BVB Clubs nutzbar. Veröffentlich von Zwangsversteigerungen auf zvgcom Aktenzeichen Az 15 K Versteigerungstermin Di, den 0906, 0930 Versteigerungsort Amtsgericht Ludwigslust Zweigstelle Parchim Amtsgericht Ludwigslust Zweigstelle Parchim, Moltkeplatz 2, Parchim Saal 247, Sitzungssaal Verkehrswert 1,00 EUR Objektart 3 bis 4,5ZimmerWohnung.
Enjoy the videos and music you love, upload original content, and share it all with friends, family, and the world on YouTube. X C V B 28,448 likes · 10 talking about this UK Streewear brand. You are here Home Interior 21 VIEW CATALOGUE.
(32) b(v, Pn•G) = G(Pn•Vv) = for v • V One key point of the iterated penalty method is that the system of equations represented by the first equation in (29) for u ", namely (33) = F(v) b(v,p •) p' G(Dv) Vv • V, will be symmetric if a(, ) is symmetric, and it will be positive definite if a(, ) is coercive and p• > 0.

A Cyclic Voltammograms Of Bare Gc A Gc B Cd B Gc Go C And Download Scientific Diagram

A J V Curves Under 1 Sun Am 1 5g 100 Mw Cm B Incident Download Scientific Diagram
_G-c-n-l-v-3-2-1-0-0-3.png)
Cm Maj7 B Guitar Chord 7 Guitar Charts Sounds And Intervals
Gc Cm Bv のギャラリー
Answer The Density Of Gold Is 19 31 G Cm Clutch Prep

Phylogeny Identification And Nomenclature Of The Genus Aspergillus Topic Of Research Paper In Biological Sciences Download Scholarly Article Pdf And Read For Free On Cyberleninka Open Science Hub

Solved 1 10 Kg Lead Bar C 013 Kj Kg K 80 C Placed Kg 419 Kj Kg K C Final Temperature Lead B Q
2

Applied Sciences Free Full Text Study On Penetration Sensing Method Based On Pool Oscillation And Arc Voltage During Pulsed Gmaw Html

Successful Response Of Vulvar Lichen Sclerosus With Nb Uvb Garrido Colmenero Dermatologic Therapy Wiley Online Library

Ccmb Home
Examview Chemistry 1st Semester Assessment W O Anws Radioactive Decay Nuclear Physics

Effects Of Separating Characteristics In Ultrasonic Elliptical Vibration Assisted Milling On Cutting Force Chip And Surface Morphologies Springerlink

16 1 Ucu Umulation Between E And V The Variation Of Potential With Distance R From

Egypt Shards Earthenware A 3 4 X 3 1 Cm B 5 3 X 3 9 Cm C 3 1 X 3 6 Cm D 2 9 X 3 0 Cm E 1 2 X 5 0 Cm F 1 5 X 2 4
Cubic Centimetre Wikipedia

Aufhauser Silveralloy Bv 68 Brazing Alloy
2

Seismic Demand For Four Modeling Assumptions A P Of E Cm Wall B V Download Scientific Diagram

Sound Speed V 2 C 2 Versus The Density R 10 15 G Cm 3 For B Download Scientific Diagram

Solved Point Lower Cm Higher Cm B 0 3 0 3 C 0 6 2 1 D Chegg Com

Molar Volume Calculations A 3 00 Cm B G Cm C Mass G Cm X Cm G Cm X 3 00 Cm G D Moles G X Mol G G X 1 Mol Ppt Download
2

Interligand Hydrogen Bonding In Metal Purine Complexes The Crystal Structure Of Cis Theophyllinatochlorobis Ethylenediamine Cobalt Iii Perchlorate Kistenmacher 1975 Acta Crystallographica Section B Wiley Online Library
Www Osti Gov Servlets Purl

Chemistry In Focus A Molecular View Of Our World 5th Edition Tro Solu

Seeing Mandolin G Major Pentatonic Blues Scales Youtube

Boston Bruins Hockey V Neck Short Sleeve T Shirt Spoked B Ccm Nhl B S New Small Ebay

Solved 18 A Metal With A Face Centered Cubic Fcc Latti Chegg Com

A Bmp Activin A Chimera Is Superior To Native Bmps And Induces Bone Repair In Nonhuman Primates When Delivered In A Composite Matrix Science Translational Medicine

Figure 3 Chlorpyrifos Exposure Induces Parkinsonian Symptoms And Associated Bone Loss In Adult Swiss Albino Mice Springerlink

Wion G Questions Based On Relation Between E And V The Variation Of Potential With
Www Conejousd Org Portals 49 Departments Science Ponce Ap chem Worksheets Unit 0 Ap ws measurement Pdf

Trabecular Bone Structural Parameters Evaluated Using Dental Cone Beam Computed Tomography Cellular Synthetic Bones Springerlink
Studies On The Lasl Cadmium Cadmium Carbonate Cycle Unt Digital Library

C M V Weber Sechs Sonaten Klavier Und Violine Op 10 B Carl Maria Von Weber Amazon Com Books

Cosmic Microwave Background Wikipedia
C Minor Wikipedia

V At 4 C The Density Of Water Is A 10 G Cm B 4g Cm C 4x 10 Kg M D 1 X 10 Kg M3 Which One Is Brainly In

Alabama Baptist State Convention Annual Reports 1913 Nl C Tro Sood J 3 S C 2u Cqb3 Bauouuoooqwwwwkssss2zz22a Iii Isj 23 Oi V Aj A J3dojci Jo Stiib Uaujiiojug Pub Sjsoijjo Ooooooooooooooo Oooooqooooooooo A C
-c-n-l-v-5-7-7-6.png)
Cm Maj7 B Ukulele Chord 1 Ukulele Charts And Intervals

China Motor Bus Cmb 1963 Guy Arab V Alexander 1980 Reb Flickr
2

Solved 5 A Piece Of Stone Has A Mass Of 24 595 Grams And Chegg Com

Army List Ii C O4 Q G I W R S C O Fl G 00 S 1 A O Is Ss Dohco Aipq S H Lt O4 Cieg

Bandages Bv Elastic Tubular Bandage 16cm X 10m Ba4211 009 Add To Quote Bv Elastic Tubular Bandage 2 5cm X m Ba4211 002 Add To Quote Bv Elastic Tubular Bandage m X 10cm Ba4211 014 Add To Quote Bv Elastic

The Fruticose Genera In The Ramalinaceae Ascomycota Lecanoromycetes Their Diversity And Evolutionary History

Cells A And B And A Galvanometer G Are Connected To A Side Wire Os By Two Sliding Contacts C And D As Shows In Fig 6 17 The Slide Wire Is 100cm

A Ball Of Mass 1 G And Charge 10 8 C Moves From A Point A Whose Potential Is 660 V Youtube

Chords In The Key Of C Minor Cm

Army List Warren Codring Ton H O Ret Pay 1927a Warrener J 36a Warringrton Morris W D Warry A T B A H Warton C P H C R B R G F M M

Solved 1 Find The Density In G Cm2 Of A Metal Cylinder Chegg Com

Lim Domain Proteins Pinch1 2 Regulate Chondrogenesis And Bone Mass In Mice Bone Research

Gas Chromatography

Solved 4 Points A Point Charge Of 4 00 Nc Is At Th Chegg Com

The Effects Of Zinc Concentrations On Growth Parameters Of V Phrygium Download Scientific Diagram

Applied Sciences Free Full Text Effect Of Three Polysaccharides Inulin And Mucilage From Chia And Flax Seeds On The Survival Of Probiotic Bacteria Encapsulated By Spray Drying Html

Solved 1 Calculate The Density In G Cm Of A Mixture 40 0 Chegg Com

Solution For Exam 1 General Chemistry Ch 101 Docsity

Answered A Double Beam Oscilloscope Displays 2 Bartleby

The Navy List 03 Gt Gt Mo G G 2 S S B S C 8 2 S A 2 2 S 5 M 1 M A M

Chapter 1 Basic Terms And Calculations

Influence Of Segregation On The Permeability Of Self Consolidating Concrete Sciencedirect

Applied Sciences Free Full Text Effect Of Three Polysaccharides Inulin And Mucilage From Chia And Flax Seeds On The Survival Of Probiotic Bacteria Encapsulated By Spray Drying Html

Solved Solid Density G Cm Aluminum 2 70 Brass 8 48 8 92 Chegg Com
Plos Genetics Ncp1 Atmob1a Plays Key Roles In Auxin Mediated Arabidopsis Development

Coulomb Force General Physics Past Paper Docsity

Modulating Photoelectrochemical Water Splitting Performance By Constructing A Type Ii Heterojunction Between G C 3 N 4 And Bioi New Journal Of Chemistry Rsc Publishing Doi 10 1039 D0njh
Are You Ready For The Most Important Carrier Community Facebook

Answered B A Rod Of Ge Germanium Crystal Bartleby

Stable High Capacity And High Rate Silicon Based Lithium Battery Anodes Upon Two Dimensional Covalent Encapsulation Nature Communications

Aging Infrastructure Seismic Improvements Application For Project Approval
Www Osapublishing Org Viewmedia Cfm Uri Ao 5 12 1960 Seq 0

V 2 O 3 C Composite Fabricated By Carboxylic Acid Assisted Sol Gel Synthesis As Anode Material For Lithium Ion Batteries Springerlink

9th 10th C Kashmir Vajradhvaja C A Sil Eyes Urna Cop Nipples Pig Cold G 13 5 Cm Knee In Mid Air Held Banner Upavita Sideways C Asian Pattern Inscrip The B V Of W Li Aka Vajraketu Y Laurent
s5_B-c-n-l-v-4-3-4-3.png)
Cm Maj13 5 B Ukulele Chord 1 Ukulele Charts And Intervals

Antioxidants Free Full Text Protective Effects Of Melon Extracts On Bone Strength Mineralization And Metabolism In Rats With Ovariectomy Induced Osteoporosis Html

A Taxonomic Synopsis Of Virola Myristicaceae In Mesoamerica Including Six New Species

Jgc 8f Relay Datasheet Pdf State Relay Equivalent Catalog

Aufhauser Goldalloy Bv 50

Sem Images Of Pva Meshes Pva 5 Meshes A C 15 V 40 Kv D Download Scientific Diagram
Direcions Read Each Of The Fo See How To Solve It At Qanda
Direcions Read Each Of The Fo See How To Solve It At Qanda

The Variation Of Potential With Distance R From A Fixed Point Is Shown In Stance R From A Fixed Point Is Shown In Figure The Electric Field At R 5

Solved Solid Density G Cm Aluminum 2 70 Brass 8 48 8 92 Chegg Com
Solved Part I Choose The Correct Answer 2 Marks 1 The Chegg Com
In An Experiment On Determining Density Of A Rectangular Block Th

H R Diagram For A Globular Cluster

Point Of Cost Certainty For Dbb Cm Gc And Db Bv Projects Between 10 Download Scientific Diagram

China Motor Bus Cmb 1962 Leyland Titan Pd3 5 Northern Co Flickr

Public Roads Smart Contracting Winter 18 Fhwa Hrt 18 002
_B-c-n-l-v-7-x-5-4-4-x.png)
Cm Maj7 B Guitar Chord 7 Guitar Charts Sounds And Intervals

Figure F131 A Close Up Core Photograph Showing A Small Breccia Pipe And Sill Sediment Contact In The Lower Sill Complex Interval 210 1276a 97r 3 138 150 Cm B Thin Section Photomicrograph Of The Sill Sediment Contact Plane Polarized

Answered A Atoms Are Very Small Compared To Bartleby

Army List R 1343a A G 1555a A U Ret Pay 1971 A H Call Loral Forces Mis 1840p a Taylor F H Ret Pay F H P H B W

Variations Of A C Gc And Dc Gc Dv G1 Vs Q I And B Dc Gc Dv G1 Download Scientific Diagram
Paper 1 Quantity Physical Sciences
Http Www Uvm Edu Gpetrucc Courses Chem221 Sample final exam questions Pdf

Sap Velocity As An Indicator Of Diurnal And Long Term Hydraulic Resistance Changes In Mature Walker Hybrid Poplar Trees This Article Is One Of A Selection Of Papers Published In The Special Issue

Ccmb We Can T Ignore What Goes In To Our Food We Can T Ignore The Sheer Number Of Farmers In The Country For Our Selfish Interests Or On Humanitarian Grounds It

Index Alternative Contracting Method Performance In U S Highway Construction April 18 Fhwa Hrt 17 100



