Uexx
#In this video, Problems no 12 Construct the analytic function f(z)=uiv as a function of z using u = e^x (x cosyy siny) Those who are having doubt a.
Uexx. Videography and discography, in two different versions "Beginners" and "Complete". #In this video, Problems no 13 Construct the analytic function f(z)=uiv as a function of z using u=e^x (x cosyy siny) Those who are having doubt als. 『ザ・ベストテン』(英称:The Best Ten)は、1978年 1月19日から19年 9月28日までTBS系列で、毎週木曜日の2100 2154 (JST) に生放送されていた音楽番組。.
Val u e x x x S avi n g s an d S p en d i n g x x x E n trep ren eu rs x x x x x x x x x Keep i n g mo n ey i n th e co mmu n i ty x x x x x x x x x Ho me o w n ersh i p x x x x Car l o an s x x x Cred i t card d eb t x x x I n vesti n g X x x x x x Wag es x x x x x S tu d en t l o an s. Tailormade cosplay costumes, wigs and accessories with over 500 different characters including Naruto cosplay, Bleach cosplay, Final Fantasy cosplay and many more. À X } v µ v U í î ï ô ì ì ñ U ^ v µ Ì d v ( / o v y = ï ð õ ì î ï î í ï ï í.
Amazoncojp ザ・ベストテン 山口百恵 完全保存版 DVD BOX DVD・ブルーレイ 山口百恵, 黒柳徹子, 久米宏.

Bernoulli S Formula For Integration By Parts

Pdf Convolutions Involving The Exponential Function And The Exponential Integral

Prob Stats 3 Expected Value Variance And Standard Deviation By Jun Jun Devpblog Medium
Uexx のギャラリー

Random Variable And Probability Distribution Outline Of Lecture
How Would We Integrate X 3 E X Dx Quora

Integral 2
Trig Identities
Solved Let U U X Y E X X Cos Y Y Sin Y Show Th Chegg Com
Solved Let U U X Y E X X Cos Y Y Sin Y A Show Chegg Com
Ocw Aprende Org Courses Mathematics 18 01sc Single Variable Calculus Fall 10 1 Differentiation Part B Implicit Differentiation And Inverse Functions Session 17 The Exponential Function Its Derivative And Its Inverse Mit18 01scf10 Ex17sol Pdf

Section 4 Bivariate Distributions
Improper Integrals Calculus Volume 2

Integrate Xe 3x

Expectations Of Continuous Random Variables Introduction The Expected Value E X For A Continuous Rv Is Motivated From The Analogous Definition For A Ppt Download
Web Cs Hacettepe Edu Tr Pinar Courses Vbm6 Lectures Randomvariables Pdf

Pdf Of X Y Z Where X Y Z Are Independent U 0 1 Mathematics Stack Exchange

Integral Of X 3 E X Dx Youtube

Integration By Parts Method Solved Integrals Primitives
Http Pg Gda Pl Static Mathematics Teaching Materials Calculus C E Functionsoftwovariables2 Pdf

Solution Differentiate Y E X Cos X 2
Www Stat Cmu Edu Larry Stat705 Lecture3 Pdf
Rejection Sampling Wikipedia

Proofs Of Derivatives Of Ln X And Eˣ Video Khan Academy

Solution Find The Integral Of E X 1 E X 1

How Do I Integrate E Sqrt X Using The Substitution Rule Mathematics Stack Exchange

8 2 Integration By Parts

Is It Okay To Write The Square Of Expectation Of A Random Variable X As Mathbb E 2 X Cross Validated

Shot Conditions P R T R U X T X R X M X Re Unit X U E Download Scientific Diagram
Ocw Mit Edu Resources Res 6 012 Introduction To Probability Spring 18 Part I The Fundamentals Mitres 6 012s18 L06as Pdf

Answered 53 58 Find All The Second Partial Bartleby
Krista King Math Online Math Tutor Integration By Parts Everything You Need To Know Downloads

Problem With U Substitution For The Integral E 4x 4x Mathematics Stack Exchange
Can You Solve This Differentiation D Dx Xe X Quora
Http Web Yonsei Ac Kr Ezaid Board Download Aspx Method Download Pfkhomepageno 1710 Fkboardentrypkno 8 Attachefilechoice 1 Pkno
1

How To Find The Expectation Value Mathematics Stack Exchange
Http Www Sfu Ca Bkrauth Econ435 435ex1f08a Pdf
Lambert W Function Wikipedia

Integrate X E X Dx Answers Math Math Equations
Http Www Stat Rutgers Edu Hcrane Teaching 5 Lectures Chapter9 Variance Pdf

Given E X 4 10 And E X 4 116 Determine A Var X 4 B M E X And C S Var X Homework Help And Answers Slader

Integral 2

Random Variable A Variable X Is A Random

What Is The Integral Math Int X 2 E X 2 Dx Math Quora
1

Find The First And Second Order Partial Derivative Of E X Y Maths Differential Equations Meritnation Com
Chain Rule Wikipedia

Prepare A Ue V 2 X Deployment Microsoft Desktop Optimization Pack Microsoft Docs

Prob Stats 3 Expected Value Variance And Standard Deviation By Jun Jun Devpblog Medium

Geneseo Math 222 01 Integration By Parts 2

Complex Variables Math Example Of A Harmonic Function Youtube
Laplace And Roc Of Function E At U T Physics Forums

Solve The Exponential Equation E 2x E X 6 Using A U Sub Youtube

Integral Of E Xloga E X Dx Maths Limits And Derivatives Meritnation Com
B If Uex X2 Y2 Cosy 2xysin See How To Solve It At Qanda

1 A 6 Points Letf Z E 2xy Sin X 2 Y 2 Ie Chegg Com
Http Www Columbia Edu Ww40 6711f13 Midtermone6711f12sols Pdf

Exponential And Logarithmic Equations Ppt Download

Symbolab Blog Advanced Math Solutions Limits Calculator The Chain Rule
Evaluate The Indefinite Integral Of X3e X2 Stumbling Robot

Form 1040 X Amended Returns Can Now Be E Filed Cpa Practice Advisor
Http Www Math Ust Hk Maklchan Ma4052 S8 Pdf
How Is The Function F X E X Uniformly Continuous On 0 1 Quora

Ex 7 3 24 Integration Ex 1 X Cos2 Ex X Dx Equals
B If Uex X2 Y2 Cosy 2xysin See How To Solve It At Qanda

Geneseo Math 222 01 Integration By Parts 2
Find An Analytic Function Whose Real Part Is E X Xcosy Ysiny Sarthaks Econnect Largest Online Education Community

Integration By Parts This Is The

Section 2 3 Suppose X Is A Discrete Type Random Variable With Outcome Space S And P M F F X The Mean Of X Is The Variance Of X Is The Standard Deviation Ppt Download

Microsoft User Experience Virtualization Ue V 2 X Microsoft Desktop Optimization Pack Microsoft Docs

Solved To Solve The De Dy Dx E X Y 1 You Must Pu Chegg Com

Integrate Int X 2 E Ax Dx Youtube

5 5 The Differentiation Of Logarithmic Functions Let Y Ln X X 0
Stanford Edu Ashlearn Rlforfinancebook Utilitytheoryforrisk Pdf
Solved Evaluate Integral E X E 2x 4e X 3 Dx 1 2 Ln Chegg Com
Solution Set Of Inequality E X 1 2x 3 X 2 X 2 Sinx 2 X 1

Find The Fourier Transform Of The Following Signals A X T U T 2 U T 1 U T 1 U T 2 B X T 2u T 2

D E L U X E M E T A L Panchiko
Evaluate The Integral Ex 1 E2x Stumbling Robot

If Y E X Sin 2 X Sin X X Find Dy Dx With Video Teachoo

Answered 9 M A Y Z Xyz Xyz P 2 1 1 U Bartleby

General Solution Of Differential Equation Y 3y E X Mathematics Stack Exchange
Link Springer Com Content Pdf 10 1007 2f978 3 7091 6146 3 10 Pdf
Differentiate The Function With Respect To X X 2 E X Log X Sarthaks Econnect Largest Online Education Community

Expectations Of Continuous Random Variables Introduction The Expected Value E X For A Continuous Rv Is Motivated From The Analogous Definition For A Ppt Download

Determine The Analytic Function Whose Real Part Is E 2x X Cos2y Ysin2y Mathematics 2 Question Answer Collection
Question Video Differentiating Functions Involving Exponential Functions Using The Product Rule Nagwa

U Substitution Examples Concept Study Com

The Integral Of E To The X Is Equal To A Function Evaluated At U To The Power Of N Mathjokes

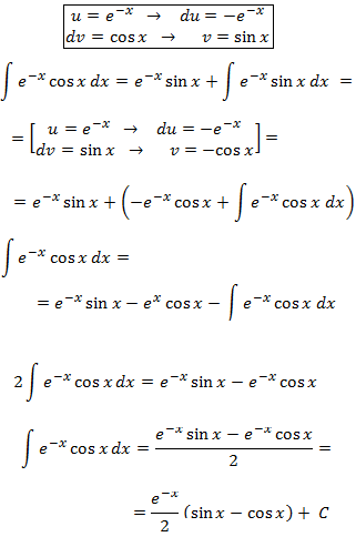
Integrate E X Sin X
Http Www Webassign Net Latex2pdf Fe696f4d2ae74d1256dda2bce Pdf

Solved Evaluate Integral E X E 2x 4e X 3 Dx Smallcir Chegg Com

Magnitude And Phase Spectra Time Shifting

Poisson Distribution Meaning Formula How To Calculate
Online Butlercc Edu Courses Files Preview Verifier K6ixfgykfbh47yunvpp0ygvlulkpihp7ybjpajts

If U X Y Then The First Order Partial Derivative Of U With Respect To Y Is Brainly In

How To Integrate Xe X Using Integration By Parts Youtube
Web Cs Hacettepe Edu Tr Pinar Courses Vbm6 Lectures Randomvariables Pdf
Www Cis Rit Edu Class Simg713 Lectures Lecture713 02 4 Pdf
What Is The Analytic Function Math F Z Math In Terms Of Math Z Math Whose Real Part Is Math E X X Sin Y Y Cos Y Math Quora
1

How Do You Find The Integral Of Int E 2x 4 E 4x Socratic
Solved Find The Derivative Of The Function F X 2e X Chegg Com
The Function U E X Sinx V E X Cosx Satisfy The Equation A



