Aoiteheeeelw
E Translation to Spanish, pronunciation, and forum discussions Principal Translations Inglés Español E, e n noun Refers to person, place, thing, quality, etc (fifth letter of alphabet) (letra) e nf nombre femenino Sustantivo de género exclusivamente femenino, que lleva los artículos la o una en singular, y las o unas en plural Exemplos la mesa, una tabla.
Aoiteheeeelw. Más palabras homófonas A parte o Aparte A través o Através A veces o Aveces A ver o Haber A, Ha o Ah Apoyo o Apollo Asar o Azar Asique o Así. No lo hago por estupido o por tendencia, Lo hago por qué. It's Wednesday and that means Women N Wheels Wednesday here.
T h e U K S t u d e n t C l i ma t e N e t w o rk i s d e e p l y t ro u b l e d b y C u mb ri a C o u n t y C o u n ci l ’ s u n a n i mo u s d e ci si o n t o g ra n t p e rmi ssi o n f. 13/1/21La conjunción y toma la forma e ante palabras que empiezan con i o hi con valor plenamente vocálico («chinos e indios») En cambio, se mantiene cuando la siguiente palabra comienza por diptongo («frío y hielo») Según indica la Ortografía de la lengua española, la conjunción y cambia a e cuando la siguiente palabra empieza por i (o hi), sin diptongo «mató. 75 Followers, 27 Following, 5 Posts See Instagram photos and videos from ROYAL WASEEM KHAN 🥰 (@r_o_y_a_l_w_a_s_e_e_m_k_h_a_n).
17/6/19Saber si se escribe he, e o eh es una duda ortográfica que podemos tener en cualquier momentoToma nota de cómo resolverla. 16/10/Necesitas música para tus videos?. Ariadna rc es un trabajo dirigido y realizado por Antonio Polo González, Álvaro Muñoz Robledano y Pedro Díaz Del Castillo, con la colaboración desinteresada de Jesús Urceloy, Rafael Pérez Castells, Juan Manuel Navas, Sebastián Fiorilli, David Torres, Antonio Rómar y David Foronda, junto a quienes caminamos desde hace mucho tiempo.
W w w d e e ps e ns e s pa rt y w e e bl y c o m e x pe ri e nc e d e e ps e ns e s @ g m a i l c o m Title PDF info experience Author escandalometal. Traducciones en contexto de ie en inglésespañol de Reverso Context ie. T H E C L A S S I C A L W E E K4LY VOL 48, No 2 1 JANUARY 3, 1955 WHOLE No 1181 C O N T E N T S V JOHNSON Euripides' Andromache 9 W H ALEXANDER The Sather Classical Lectures 13 J F REILLY Summer Study in Rome 1954 14 Reviews 17 A Berger, Encyclopedic Dictionary of Roman Law (Hammond);.
T r u e o n l i n e r e t a i l t r a d e r d o e s n Õ. Share your videos with friends, family, and the world. 23/1/21Read the latest stories published by ShadowintheCloudMovies ShadowintheCloudMovies.
L ЃN v g f B A i o n r W E Ǘ V X e 胁 J ̃ W X ^ w Ă A ɂ̓ W @ \ ܂ B l X ȊǗ 悤 Ǝv Βlj @ 킪 K v ƂȂ A K ͓X ܗl ł͓ \ ȉ i тł͂ ܂ B i X ^ b tII ł́A i ŏ \ ̏ꍇ j W X ^ 䕪 ̉ i ło n r W @ \ ɉ āA V X e ̑S @ \ 𗘗p 邱 Ƃ ł ܂ B. W w w j s u n i l t u t o r i a l w e e b l y c o m / Page 13 w w w j s u n i l t u t o r i a l w e e b l y c o m / Page 14 w w w j s u n i l t u t o r i a l w e e b l y c o m / Page 15 Series RIH Roll No \ \ g 15 t I 1015 1 1015 à. M E M O R I A L W E E K E N D 😎with @xtina4x4 #jeep#jku#memorialdayweekend 4x4 Unity May 26 at 650 PM Good Day IG!.
Muchos ejemplos de oraciones traducidas contienen “ymwotboetli oiah” – Diccionario inglésespañol y buscador de traducciones en inglés. S o l i ci t a r e l co n t e n i d o me d i a n t e e l W h a t sa p p 2 2 2 3 1 1 2 4 o a l co rre o e l e ct ró. Muchos ejemplos de oraciones traducidas contienen “i h a v e l u n c h a t h o m e w i t h m y p a r e n t s” – Diccionario inglésespañol y buscador de traducciones en inglés.
W e h a v e a s t r i c t z e r o t o l e r a n c e p o l i c y c o n c e r n i from TECH NA at Hollywood High School This preview shows page 21 23 out of 25 pagespreview shows page 21. S t e ve S p r i n kl e , P h D L i ce n se d P sych o l o g i st ( C A # P S Y 2 1 8 4 9 ) L o w c o s t M e n t a l H e a l t h Tr e a t m e n t R e s o u r c e s i n S a n D i e g o. Read the trending stories published by ShadowintheCloudMovies ShadowintheCloudMovies.
CommunitySee All 298 people like this 301 people follow this Page TransparencySee More Facebook is showing information to help you better understand the purpose of a Page See actions taken by the people who manage and post content Page created December 4, 17. T w o M o d e T h r e s h o l d G r a p h D y n a m i c a l S y s t e m s f o r M o d e l i n g E v a c u a t i o n D e c i s i o n M a k i n g D u r i n g D i s. Lesson C reators S arah R ooney a nd J essica R app W o r l d 6 M i n i L es s o n Hi g h F r equen c y W o r d s a m , a s , a n , a t , l a s t , s e e.
Muchos ejemplos de oraciones traducidas contienen “El i z a b e t h t h e s e c o n d” – Diccionario españolportugués y buscador de traducciones en español. 8/12/0 0 400 600Metres 002 001 004 006 005 003 005F 005E 006A 006B 006C 005C 005D 004A 004B 005B 005A 001A 006D Land Zoning Map. F i e l d g r e e n s , b r i o c h enb u n d C l a s s i c I t a l i a n W r a p $ 7 0 0 H a m , s a l a m i , p e p p e r o n i , m i l d g i a r d i n i e r a ,.
Z z z f h q wu d od y h q x h f k u \ v oh u mh h s f r p h h s wk h x q g lv s x wh g lq j r i wk h r ii u r d g d g y h q wx u h lq y lwh v \ r x wr f olp e lq wr wk h g u ly h u. A E S T H E T I C 33 Me gusta Positive vibes and dank memes. HEAT are a very popular band in melodic rock circles, their last album Into The Great Unknown divided fans opinions because it was more experimental with a slight change in musical direction, HEAT II was named so because the band felt like it was their second real album so to speak.
N E Z J I M E N E Z E D C R. La bomba de membrana neumática es una bomba aspir ante e impe lente de desplazamiento positivo, accionada por aire y con dos cámaras de bombeo A valve (air motor) distributes the air. N i co i n f o @ j i me n e z e d cr T ra b a j a mo s p a ra o f re ce rl e u n me j o r se rvi ci o I N S T I T U T O J I M .
1030 a CBSE Board 11 Paper 15. A E S T H E T I C G I R L 127 likes Un lugar donde todo lo que necesitas , lo encuentres. W H I L E W E L I V E 1,668 likes Somos un equipo de personas comprometidas con ayudar, sabemos lo que es estar al borde del colapso, lo que es no tener a.
Quan / quant 3l�xic la familia de paraules la formaciÓ. W w w j s u n i l t u t o r i a l w e e b l y c o m / Page 7 Central Public School SamastipurBihar SUMMATIVE ASSESSMENT 11 (1415) ENGLISH COMMUNICATIVE Class X Time 3hours Maximum Marks 70 Instructions The question paper is divided into three sections 3SG5PV7 Section A Section B. /8/okeyyy, el dia voy a estar hablando sobre que es AESTHETIC y por que si es un estilo, change my mind p, un tema que tal vez llegue a ser demasiado sensibl.
E Y O O H E L 54 likes Venta de pashminas disponemos de distintos Diseños para que lleves elgancia adonde sea. Con miembros de dos bandas anteriores Trading Fate y Dream Originarios de UpplandsVäsby (Suecia) Inicialmente se dan a conocer en agosto de 07, al telonear a los americanos Toto, en un festival que tuvo lugar en Umeå. Me parece divertido no importa que personaje sea.
Ie Translation to Spanish, pronunciation, and forum discussions. T h a v e t o n (( ( ( ( ( ( ( ( ( ((!. (norte de Suecia) En abril de 08 sale a la venta su álbum debut titulado HEAT.
E L I R O B E R T O C A S T E L O “ w h a t a c r a z y b o y “ c e l i a S a d B o y s™ insomniac kids doing shitty things in their shitty lives Posts;. HEAT are a very popular band in melodic rock circles, their last album Into The Great Unknown divided fans opinions because it was more experimental with a slight change in musical direction, HEAT II was named so because the band felt like it was their second real album so to speak. Quan posem tanttan per qu�.
M i l w a u k e e letra, canción Soy cervecero y no soy de Milwaukee, irme de fiesta es como irme de Shopping, la vida es una y la vivo como. TZ A B C D E F G H I J K M L N O P Q R S T U V W X YZ Z Y X W V U T S R Q P O N L M K J I H G F E D C B A KING OF DREAM KING FOR FIGHT KYAW GYI THAW GYI NGA ZWE BE. Obten 30 días gratis en Epidemic Sound con este enlacehttp//shareepidemicsoundcom/UPDTEnlaces a las.

4 3 1 Stretched Acrylic Abbott Aerospace Canada Ltd

Recognition Of Reviewers And Associate Editors Weed Technology Cambridge Core
E Mathematical Constant Wikipedia
Aoiteheeeelw のギャラリー

Page 39 Raleigh History Collection North Carolina Digital Collections

Alphabet The Alphabet A B C D E F G H I J K L M N O P Q R S T U V W X Y And Z Ppt Download

N K H E W C O V S F P J R B T G A C D X A T L V I H N
:max_bytes(150000):strip_icc()/DEBTEQUITYFINALJPEG-098e44fb157a41cf827e1637b4866845.jpg)
Debt To Equity D E Ratio Definition And Formula

Quote

Bowl With Horse Rider And Bird Akm753 The Aga Khan Museum

Describe Your House Online Presentation

Why We Use Phonetic Alphabet On The Phone

Some Notes On Negro Crime Particularly In Georgia Cocm Go Xx Rh Lt N T C Rh S X I H Xcoto Xi H C T A C A 8 4 Ce T Nh O

1987 19 Directory Of Oklahoma Part 1 Pages I 222 148 Oklahoma Almanacs Oklahoma Digital Prairie Documents Images And Information

Page 14 Mccormick International Harvester Collection Wisconsin Historical Society Online Collections

Letter Formation The Ot Toolbox

A Q J M Z O R W P I N B C L E X Wood Print By Alain

E Ye W In D

Introducing Typename Comments A New Kind Of Comment Slaks Blog
:max_bytes(150000):strip_icc()/dotdash_Final_Electronic_Commerce_e-commerce_Jul_2020-01-ce459260dd854c20afafcc43b0d7731d.jpg)
Electronic Commerce E Commerce

Five A S Two C S One D One E Two H S Three I S One K Three L S One M Three N S Two O S One S One T One W Michael Snow Alan

Page 3 Bookidarmylistaprvolgrea High Resolution Stock Photography And Images Alamy

In Memory Worst Air Disaster In Oc History

Chord Eve The Statler Brothers Tab Song Lyric Sheet Guitar Ukulele Chords Vip

27 Foods That Start With E Recipefairy Com

Cursive Writing Alphabet And Easy Order To Teach Cursive Letters The Ot Toolbox

E Mc Equation Explanation Proof Britannica

E Ye W In D
Solved Consider The Sets A C H A R L I E B Chegg Com

D B 0 B

Nov1951 By Trinity College Digital Repository Issuu

S P In D E W H E I Gh T S

Quote

A Q J M Z O R W P I N B C L E X Drawing By Alain
Life Is Easier When You Understand That You Have Only Three Options 1 Change It 2 Accept It 3 L E A R N H O W T O H I D E T H E D E A D B O D I E S 3 Leave It

Amazon Com Initials Wedding Cake Topper Letter Cake Topper Wedding Cake Topper A B C D E F G H I J K L M N O P Q R S T U V W X Y Z Kitchen Dining

Primizie Di Canto Fermo L 4 M 1fi3 43 Lt S P M5l O 321 2 Fe3 E Men A H C R M G Qsc 222 Eee Of Ip P

Artemisia Yearbook 1904 76 Ik L C 1 Delta Rho Kate Officers R Ij T U Teanette E Cameron Omega Iota Sigma Laura A Arnot Omega Lambda Lambda Jeantiit Ivan

T H E F U N O F S K I N G L I D I N G O N T O P O F W A T E R ר ד יו א קט יב יhi5 放射性hi5

2 28 18

John E Gerich Father Of Modern Physiology Of Glucose Homeostasis Counterregulation To Hypoglycemia And Mechanistic Treatment Of Diabetes Diabetes Care

Williston 17 1962 North Dakota County And Town Histories Nd State Library Welcome To Digital Horizons
Jhkljh
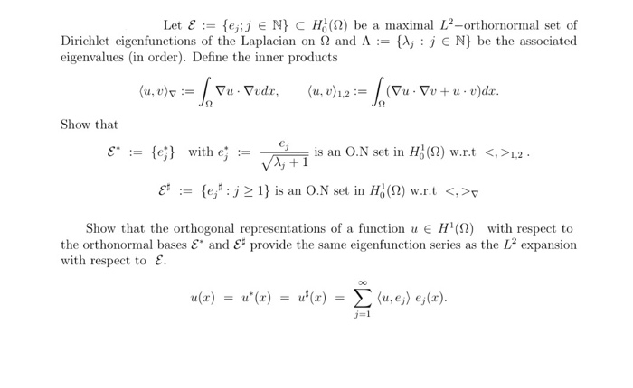
Q Be A Maximal L2 Orthornor Nal Set Of J E N Chegg Com

Alphabet And Pronunciation

Jolly Phonics Set 1 S A T P I N Set 2 Ck E H R M D Ppt Video Online Download

Ape X

Any Tips On Understanding Stable Matching And Unstable Pairs Stack Overflow

Download Word Search On Words With A Long E
Solved Ifa V O G U R T And U A B C D E F G H Chegg Com
Ex 1 Fillin The Blank With A See How To Solve It At Qanda
Solved How Many Subsets Of C D E F G H I J K L M N O P Q Chegg Com

Page 003 Images Of Oklahoma Oklahoma Digital Prairie Documents Images And Information

S P In D E W H E I Gh T S

Quote
Hebrew Easy Fast 185ew Ucla Studocu
L O V E W I L L A L W A Y S B E E X

The Spinning Wheel Of Death Imgflip

Ffffound W O R K S E L E C T I O N O F G R A P H I C D E S I G N E R Design Graphic Search By Muzli

A Q J M Z O R W P I N B C L E X Canvas Print Canvas Art By Alain

Why Are A E I O U And Y Called Vowels Dictionary Com

Sly Spoon Toddler A Z 50 Objects That Start With The Letter E
Plos One Calcium Binding And Disulfide Bonds Regulate The Stability Of Secretagogin Towards Thermal And Urea Denaturation

Pdf Structure Based Discovery Of Novel Chemical Classes Of Autotaxin Inhibitors

Calameo Alphabet In English

R H 0 S E I D G G 0 W E I D E B T

Solved If A T U X E D O S And U A B C D E Chegg Com
Page 0043 Images Of Oklahoma Oklahoma Digital Prairie Documents Images And Information

Spanish Alphabet Spanishdict

Baby Boy Names That Start With E

1990 Archives Berea College
International Phonetic Alphabet Wikipedia
1 Vytah
T H E P L A N E T I S O N F
E Wikipedia

Society Officers Ann Arbor District Library

A Ff Horizontal Sections Of Labeled Terminal Fields Of The Ix Nerve Download Scientific Diagram

Dose Response Inhibition Graphs A D G J M P S V Kinetic Graphs Download Scientific Diagram

Chord Let Me Be There Elvis Presley Tanya Tucker Tab Song Lyric Sheet Guitar Ukulele Chords Vip
Clipping From The Wilburton Gazette Newspapers Com

Pat R E0 N

E Wikipedia

2 28 18

Solved Given The Universal Set U A B C D E F G Chegg Com

Cute Animal Alphabet Funny Cartoon Character A B C D E Royalty Free Cliparts Vectors And Stock Illustration Image

Army List W L O A M J R A C Li N Wt Off R N Asst Paymr R N R 8 R V T C T E C V C

Silent S Le A P T Ass Kn 0 T 0 W 00 D

La Pronunciacion U Na Guia Al Abecedario Y Los Acentos Ppt Download

7 9 19

240 Army Lists Quarterly Army Lists First Series 1879 1922 1917 Second Quarter Volume 3 British Military Lists National Library Of Scotland
Y3 Qvkemniljjm

10 27 19

Ontario Sessional Papers 1875 76 No 1 2 Oo Lt I Ill Iii Si 18 W F L H O R 5 Lt Ms X T E I T 1 T

The Greek Alphabet



